电脑桌面
添加小米粒文库到电脑桌面
安装后可以在桌面快捷访问

数理统计复习总结VIP免费

数理统计复习总结_第1页
1/11
数理统计复习总结_第2页
2/11
数理统计复习总结_第3页
3/11
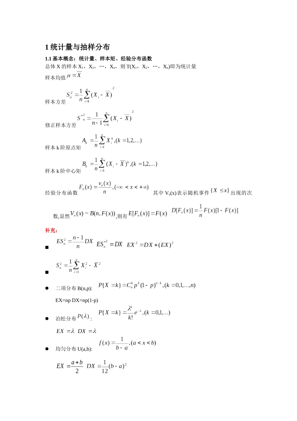
1统计量与抽样分布1.1基本概念:统计量、样本矩、经验分布函数总体X的样本X1,X2,…,Xn,则T(X1,X2,…,Xn)即为统计量样本均值样本方差修正样本方差样本k阶原点矩样本k阶中心矩经验分布函数其中Vn(x)表示随机事件出现的次数,显然,则有补充:二项分布B(n,p):EX=npDX=np(1-p)泊松分布:均匀分布U(a,b):指数分布:正态分布:当时,1.2统计量:充分统计量、因子分解定理、完备统计量、指数型分布族T是θ的充分统计量与θ无关T是θ的完备统计量要使E[g(T)]=0,必有g(T)=0且h非负T是θ的充分统计量T是θ的充分完备统计量是的充分完备统计量1.3抽样分布:分布,t分布,F分布,分位数,正态总体样本均值和方差的分布,非正态总体样本均值的分布分布:T分布:当n>2时,ET=0F分布:补充:Z=X+Y的概率密度f(x,y)是X和Y的联合概率密度的概率密度的概率密度函数:B函数:1.4次序统计量及其分布:次序统计量、样本中位数、样本极差RX(k)的分布密度:X(1)的分布密度:X(n)的分布密度:2参数估计2.1点估计与优良性:概念、无偏估计、均方误差准则、相合估计(一致估计)、渐近正态估计的均方误差:若是无偏估计,则对于的任意一个无偏估计量,有,则是的最小方差无偏估计,记MVUE相合估计(一致估计):2.2点估计量的求法:矩估计法、最大似然估计法矩估计法:①求出总体的k阶原点矩:②解方程组(k=1,2,...,m),得即为所求最大似然估计法:①写出似然函数,求出lnL及似然方程i=1,2,...,m②解似然方程得到,即最大似然估计i=1,2,...,m补充:似然方程无解时,求出的定义域中使得似然函数最大的值,即为最大似然估计2.3MVUE和有效估计:最小方差无偏估计、有效估计T是的充分完备统计量,是的一个无偏估计为的惟一的MVUE最小方差无偏估计的求解步骤:①求出参数的充分完备统计量T②求出,则是的一个无偏估计或求出一个无偏估计,然后改写成用T表示的函数③综合,是的MVUE或者:求出的矩估计或ML估计,再求效率,为1则必为MVUET是的一个无偏估计,则满足信息不等式,其中或,为样本的联合分布。最小方差无偏估计达到罗-克拉姆下界有效估计量效率为1无偏估计的效率:是的最大似然估计,且是的充分统计量是的有效估计2.4区间估计:概念、正态总体区间估计(期望、方差、均值差、方差比)及单侧估计、非正态总体参数和区间估计一个总体的情况:已知,求的置信区间:未知,求的置信区间:已知,求的置信区间:未知,求的置信区间:两个总体的情况:,均已知时,求的区间估计:未知时,求的区间估计:未知时,求:非正态总体的区间估计:当时,,故用Sn代替Sn-13统计决策与贝叶斯估计3.1统计决策的基本概念:三要素、统计决策函数及风险函数三要素:样本空间和分布族、行动空间(判决空间)、损失函数统计决策函数d(X):本质上是一个统计量,可用来估计未知参数风险函数:是关于的函数3.2贝叶斯估计:先验分布与后验分布、贝叶斯风险、贝叶斯估计①求样本X=(X1,X2,...,Xn)的分布:②样本X与的联合概率分布:③求关于x的边缘密度④的后验密度为:取时的贝叶斯估计为:贝叶斯风险为:取时,贝叶斯估计为:补充:的贝叶斯估计:取损失函数,则贝叶斯估计为3.3minimax估计对决策空间中的决策函数d1(X),d2(X),...,分别求出在上的最大风险值在所有的最大风险值中选取相对最小值,此值对应的决策函数就是最小最大决策函数。4假设检验4.1基本概念:零假设(H0)与备选假设(H1)、检验规则、两类错误、势函数零假设通常受到保护,而备选假设是当零假设被拒绝后才能被接受。检验规则:构造一个统计量T(X1,X2,...,X3),当H0服从某一分布,当H0不成立时,T的偏大偏小特征。据此,构造拒绝域W第一类错误(弃真错误):第二类错误(存伪错误):势函数:当时,为犯第一类错误的概率当时,为犯第二类错误的概率4.2正态总体均值与方差的假设检验:t检验、X2检验、F检验、单边检验一个总体的情况:已知,检验:未知,检验:已知,检验:未知,检验:两个总体的情况:,未知时,检验:未知时,检验:单边检验:举例说明,已知,检验:构造,给定显著性水平,有。当H0成立时,因此。故拒绝域为4.3非参数假设检...

1、当您付费下载文档后,您只拥有了使用权限,并不意味着购买了版权,文档只能用于自身使用,不得用于其他商业用途(如 [转卖]进行直接盈利或[编辑后售卖]进行间接盈利)。
2、本站所有内容均由合作方或网友上传,本站不对文档的完整性、权威性及其观点立场正确性做任何保证或承诺!文档内容仅供研究参考,付费前请自行鉴别。
3、如文档内容存在违规,或者侵犯商业秘密、侵犯著作权等,请点击“违规举报”。

碎片内容

数理统计复习总结

您可能关注的文档

确认删除?
VIP
微信客服
  • 扫码咨询
会员Q群
  • 会员专属群点击这里加入QQ群
客服邮箱
回到顶部