电脑桌面
添加小米粒文库到电脑桌面
安装后可以在桌面快捷访问

关于余弦定理的测试(答案详细)苏教版必修5 试题VIP免费

关于余弦定理的测试(答案详细)苏教版必修5 试题_第1页
1/6
关于余弦定理的测试(答案详细)苏教版必修5 试题_第2页
2/6
关于余弦定理的测试(答案详细)苏教版必修5 试题_第3页
3/6
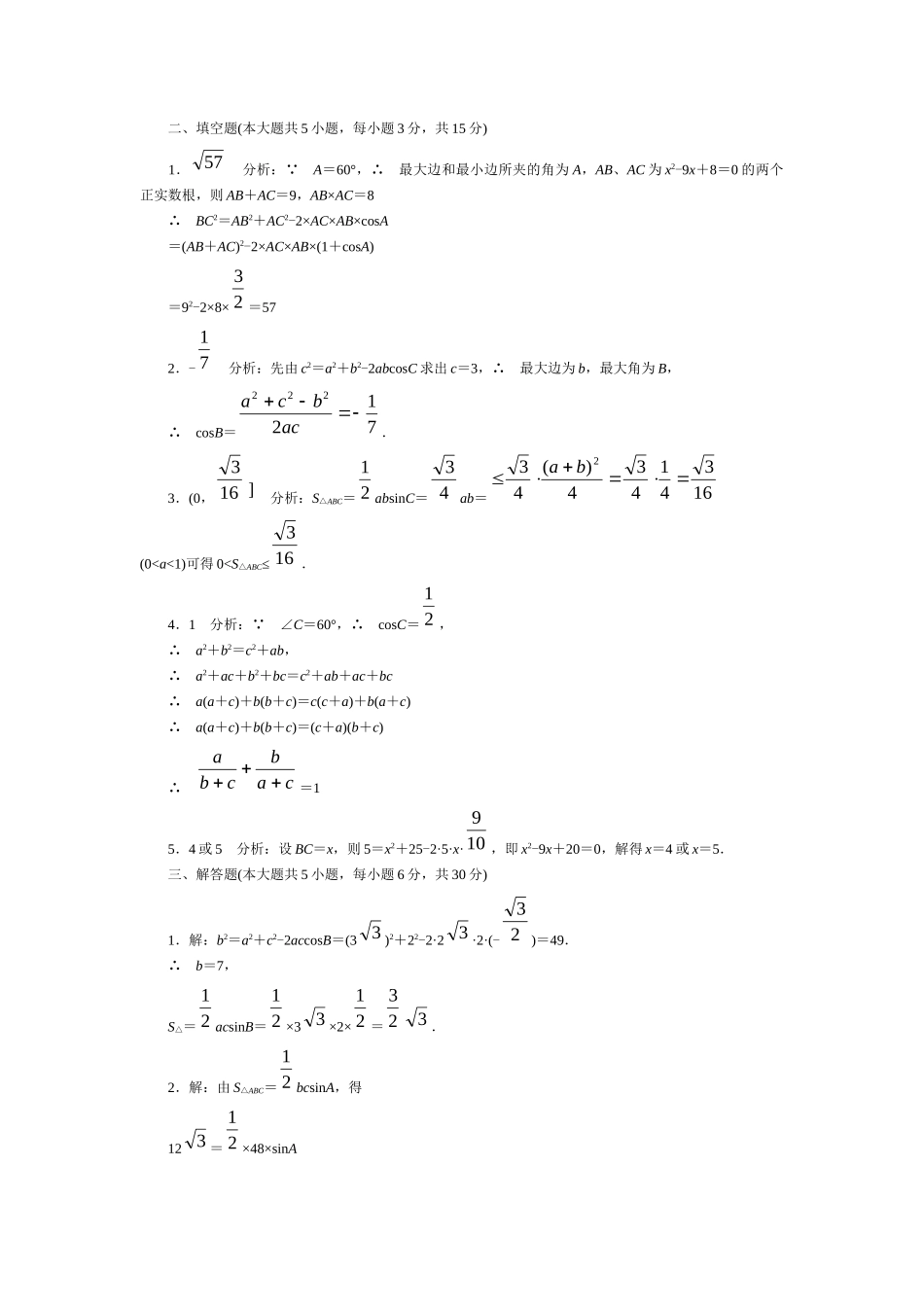
余弦定理(1)●作业导航掌握余弦定理,理解余弦定理与勾股定理的关系,知道利用余弦定理的变形式求边与角,会解已知两边和它们的夹角或三边的三角形问题.一、选择题(本大题共5小题,每小题3分,共15分)1.在△ABC中,已知b=43,c=23,∠A=120°,则a等于()A.221B.6C.221或6D.236152.在△ABC中,已知三边a、b、c满足(a+b+c)(a+b-c)=3ab,则∠C等于()A.15°B.30°C.45°D.60°3.已知在△ABC中,sinA∶sinB∶sinC=3∶5∶7,那么这个三角形的最大角是()A.135°B.90°C.120°D.150°4.在△ABC中,若c4-2(a2+b2)c2+a4+a2b2+b4=0,则∠C等于()A.90°B.120°C.60°D.120°或60°5.已知A、B、C是△ABC的三个内角,则在下列各结论中,不正确的为()A.sin2A=sin2B+sin2C+2sinBsinCcos(B+C)B.sin2B=sin2A+sin2C+2sinAsinCcos(A+C)C.sin2C=sin2A+sin2B-2sinAsinBcosCD.sin2(A+B)=sin2A+sin2B-2sinBsinCcos(A+B)二、填空题(本大题共5小题,每小题3分,共15分)1.已知△ABC中,A=60°,最大边和最小边是方程x2-9x+8=0的两个正实数根,那么BC边长是________.2.在△ABC中,已知a=7,b=8,cosC=1413,则最大角的余弦值是________.3.若△ABC中,∠C=60°,a+b=1,则面积S的取值范围是________.4.在△ABC中,∠C=60°,a、b、c分别为∠A、∠B、∠C的对边,则cabcba=________.5.在△ABC中,若AB=5,AC=5,且cosC=109,则BC=________.三、解答题(本大题共5小题,每小题6分,共30分)1.已知a=33,c=2,B=150°,求边b的长及S△.2.a,b,c为△ABC的三边,其面积S△ABC=123,bc=48,b-c=2,求a.3.在△ABC中,a,b,c分别是三内角A、B、C的对边,且ccaBC2cotcot,a2+b2=c2+2ab,求A.4.已知△ABC的三边长a、b、c和面积S满足S=a2-(b-c)2,且b+c=8,求S的最大值.5.已知a、b、c为△ABC的三边,且a2-a-2b-2c=0,a+2b-2c+3=0,求这个三角形的最大内角.参考答案一、选择题(本大题共5小题,每小题3分,共15分)1.A分析:由余弦定理得:a2=b2+c2-2bccosA=48+12-2×43×23×(-21)=84,∴a=221.2.D分析:由(a+b+c)(a+b-c)=3ab,得a2+2ab+b2-c2=3ab∴212222abcba,∴cosC=60°3.C分析:由sinA∶sinB∶sinC=3∶5∶7知三角形的三边之比为a∶b∶c=3∶5∶7,最大的边为c,∴最大的角为∠C.由余弦定理得cosC=21532)7()5()3(222kkkkk,∴∠C=120°.4.D分析:由c4-2(a2+b2)c2+a4+a2b2+b4=0,得(a2+b2)2-2(a2+b2)c2+c4=a2b2,∴(a2+b2-c2)2=a2b2,∴a2+b2-c2=±ab,∴cosC=212222abcba,∴∠C=120°或∠C=60°.5.D分析: sin2A=(Ra2)2,sin2B=(Rb2)2,sin2C=(Rc2)2∴四个选项分别可化为:a2=b2+c2-2bccosAb2=a2+c2-2accosBc2=a2+b2-2abcosCc2=a2+b2+2abcosC显然c2=a2+b2+2abcosC不对.二、填空题(本大题共5小题,每小题3分,共15分)1.57分析: A=60°,∴最大边和最小边所夹的角为A,AB、AC为x2-9x+8=0的两个正实数根,则AB+AC=9,AB×AC=8∴BC2=AB2+AC2-2×AC×AB×cosA=(AB+AC)2-2×AC×AB×(1+cosA)=92-2×8×23=572.-71分析:先由c2=a2+b2-2abcosC求出c=3,∴最大边为b,最大角为B,∴cosB=712222acbca.3.(0,163]分析:S△ABC=21absinC=43ab=16341434)(432ba(0

1、当您付费下载文档后,您只拥有了使用权限,并不意味着购买了版权,文档只能用于自身使用,不得用于其他商业用途(如 [转卖]进行直接盈利或[编辑后售卖]进行间接盈利)。
2、本站所有内容均由合作方或网友上传,本站不对文档的完整性、权威性及其观点立场正确性做任何保证或承诺!文档内容仅供研究参考,付费前请自行鉴别。
3、如文档内容存在违规,或者侵犯商业秘密、侵犯著作权等,请点击“违规举报”。

碎片内容

关于余弦定理的测试(答案详细)苏教版必修5 试题

确认删除?
微信客服
  • 扫码咨询
会员Q群
  • 会员专属群点击这里加入QQ群