电脑桌面
添加小米粒文库到电脑桌面
安装后可以在桌面快捷访问

黑龙江省大庆市喇中高考数学 双曲线练习-人教版高三全册数学试题VIP免费

黑龙江省大庆市喇中高考数学 双曲线练习-人教版高三全册数学试题_第1页
1/23
黑龙江省大庆市喇中高考数学 双曲线练习-人教版高三全册数学试题_第2页
2/23
黑龙江省大庆市喇中高考数学 双曲线练习-人教版高三全册数学试题_第3页
3/23
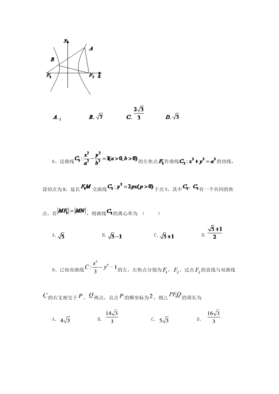
双曲线练习1、已知m,n为两个不相等的非零实数,则方程mx-y+n=0与nx2+my2=mn所表示的曲线可能是()ABCD2、已知椭圆E:(a>b>0)与双曲线G:x共焦点,F1,F2是双曲线的左、右焦点,P是椭圆E与双曲线G的一个交点,O为坐标原点,△PF1F2的周长为4.(1)求椭圆E的方程;(2)已知动直线l与椭圆E恒有两个不同交点A,B,且,求△OAB面积的取值范围.3、点为双曲线的右焦点,点P为双曲线左支上一点,线段PF与圆相切于点Q,且,则双曲线的离心率等于()A.B.C.D.24、过双曲线的左焦点F作圆x2+y2=的切线,切点为E,延长FE交双曲线右支于点P,若E为PF的中点,则双曲线的离心率为________.5、已知双曲线﹣=1(b∈N*)的两个焦点F1,F2,点P是双曲线上一点,|OP|<5,|PF1|,|F1F2|,|PF2|成等比数列,则双曲线的离心率为()A.2B.3C.D.6、过双曲线的左焦点,作圆的切线,切点为E,延长FE交双曲线右支于点P,若,则双曲线的离心率为A.B.C.D.7、如图,、是双曲线的左、右焦点,过的直线与双曲线的左右两支分别交于点、.若为等边三角形,则双曲线的离心率为()48、过曲线的左焦点作曲线的切线,设切点为M,延长交曲线于点N,其中有一个共同的焦点,若,则曲线的离心率为()A.B.C.D.9、已知双曲线的左,右焦点分别为,,过点的直线与双曲线的右支相交于,两点,且点的横坐标为,则△的周长为A.B.C.D.10、已知双曲线上一点,过双曲线中心的直线交双曲线于A、B两点,记直线AC、BC的斜率分别为,当最小时,双曲线离心率为11、已知抛物线y=x2与双曲线﹣x2=1(a>0)有共同的焦点F,O为坐标原点,P在x轴上方且在双曲线上,则•的最小值为()A.2﹣3B.3﹣2C.D.12、已知双曲线C:﹣=1(a>0,b>0),F1、F2分别是它的左、右焦点,A(﹣1,0)是其左顶点,且双曲线的离心率为e=2.设过右焦点F2的直线l与双曲线C的右支交于P、Q两点,其中点P位于第一象限内.(1)求双曲线的方程;(2)若直线AP、AQ分别与直线x=交于M、N两点,求证:MF2⊥NF2;(3)是否存在常数λ,使得∠PF2A=λ∠PAF2恒成立?若存在,求出λ的值,若不存在,请说明理由.13、无论为任何实数,直线与双曲线恒有公共点。(1)求双曲线的离心率的取值范围;(2)若直线经过双曲线的右焦点与双曲线交于两点,并且满足,求双曲线的方程。14、如图,双曲线C:﹣=1(a>0,b>0)的左、右焦点F1(﹣c,0)、F2(c,0),A为双曲线C右支上一点,且|AF1|=2c,AF1与y轴交于点B,若F2B是∠AF2F1的角平分线,则双曲线C的离心率是()A.B.1+C.D.15、设双曲线(a>0,b>0)的右焦点为F,过点F作与x轴垂直的直线l交两渐近线于A、B两点,且与双曲线在第一象限的交点为P,设O为坐标原点,若,,则该双曲线的离心率为()A.B.C.D.16、已知椭圆的离心率为,双曲线与椭圆有相同的焦点,M是两曲线的一个公共点,若,则双曲线的渐近线方程为()A.B.C.D.17、双曲线的中心在原点,焦点在x轴上,若的一个焦点与抛物线:的焦点重合,且抛物线的准线交双曲线所得的弦长为4,则双曲线的实轴长为()A.6B.2C.D.18、已知椭圆的中心在坐标原点,两焦点分别为双曲线的顶点,直线与椭圆交于,两点,且点的坐标为,点是椭圆上异于点,的任意一点,点满足,,且,,三点不共线.(1)求椭圆的方程;(2)求点的轨迹方程;(3)求面积的最大值及此时点的坐标.19、设分别为双曲线的左、右焦点.若在双曲线右支上存在点,满足,且到直线的距离等于双曲线的实轴长,则该双曲线的渐近线方程为()A.B.C.D.20、已知,椭圆的方程为,双曲线的方程为,与的离心率之积为,则的渐近线方程为()A.B.C.D.答案1、C2、(I)由双曲线G:知F1(﹣2,0),F2(2,0),可得在椭圆E:中有c=2,又△PF1F2的周长为4+4,可得|PF1|+|PF2|=4=2a,b2=a2﹣c2,解出即可.(II)当直线l的斜率存在时,其方程可设为y=kx+m,A(x1,y1),B(x2,y2),与椭圆方程联立可得:(1+2k2)x2+4kmx+2m2﹣8=0,则△>0,可得(8k2﹣m2+4)>0,要使,需使x1x2+y1y2=0,可得3m2﹣8k2﹣8=0,而原点到直线l的距离d=,又|AB|==,对k分类讨论即可得出取值范围,利用S...

1、当您付费下载文档后,您只拥有了使用权限,并不意味着购买了版权,文档只能用于自身使用,不得用于其他商业用途(如 [转卖]进行直接盈利或[编辑后售卖]进行间接盈利)。
2、本站所有内容均由合作方或网友上传,本站不对文档的完整性、权威性及其观点立场正确性做任何保证或承诺!文档内容仅供研究参考,付费前请自行鉴别。
3、如文档内容存在违规,或者侵犯商业秘密、侵犯著作权等,请点击“违规举报”。

碎片内容

黑龙江省大庆市喇中高考数学 双曲线练习-人教版高三全册数学试题

确认删除?
VIP
微信客服
  • 扫码咨询
会员Q群
  • 会员专属群点击这里加入QQ群
客服邮箱
回到顶部