电脑桌面
添加小米粒文库到电脑桌面
安装后可以在桌面快捷访问

高二数学(理)复数的模、复数综合人教实验版(A)知识精讲VIP免费

高二数学(理)复数的模、复数综合人教实验版(A)知识精讲_第1页
1/8
高二数学(理)复数的模、复数综合人教实验版(A)知识精讲_第2页
2/8
高二数学(理)复数的模、复数综合人教实验版(A)知识精讲_第3页
3/8
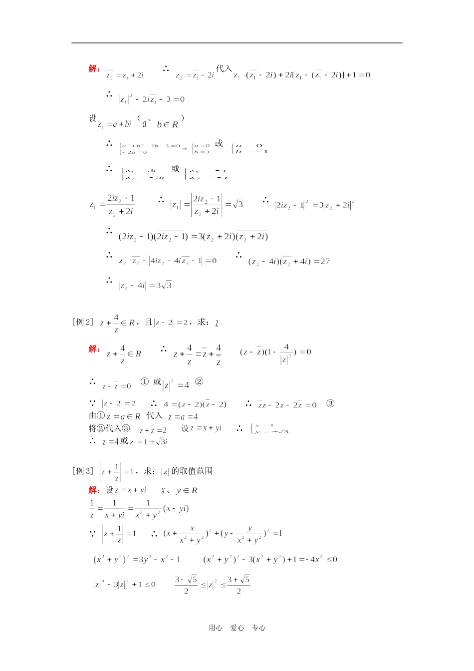
高二数学(理)复数的模、复数综合人教实验版(A)【本讲教育信息】一.教学内容:复数的模、复数综合二.重点、难点1.复数①代数形式:i②点的形式:③向量形式:④模:2.3.(、)4.5方程(,、、)(1),有两实根(2),有两相等实根(3),有两虚根(4),【典型例题】[例1]若、满足(1)若求、(2)若求用心爱心专心解:∴代入∴设(、)∴或∴或∴∴∴∴∴∴[例2],且,求:解:∴∴①或②∵∴∴③由①代入将②代入③设∴∴或[例3],求:的取值范围解:设、∵∴用心爱心专心[例4]已知且,求证:证:左=右[例5],且,求证:为纯虚数。证明:设欲证为纯虚数只要∵∴∴∴为纯虚数[例6]求的平方根。解:设的平方根为(、)∴∴∴或∴平方根为[例7]求1的立方虚根。解:,[例8],,求的值。解:原式用心爱心专心(1)时原式(2)原式[例9]、且,求:的值。解:原式注:(1)原式(2)原式∴[例10]解方程。用心爱心专心解:令(、)∴或另解平方根为∴[例11]、为方程的根,求(1)(2)(3)。解:(1)(2)(3)[例12]实数为何值时方程有实根。解:设实根为∴相减(1)原式无实根(2)原式有实根(3)原式无实根∴方程有实根【模拟试题】1.()A.B.C.D.2.,则()A.B.3C.D.用心爱心专心3.复数()A.B.1C.D.324.复数()A.B.C.4D.5.()A.B.C.D.6.()A.B.C.D.7.向量对应的复数是()A.B.C.D.8.若复数表示的点在虚轴上,则实数的值为()A.-1B.4C.-1和4D.-1和69.复数对应的点在虚轴上,则()A.或B.且C.或D.10.的值是()A.1B.0C.D.11.若复数Z满足,则Z等于()A.B.C.D.12.设,则()A.B.C.D.13.若,且,则的最小值是()A.2B.3C.4D.514.等于()A.B.C.D.15.设复数,则的值为()A.-3B.3C.D.16.()A.1B.C.D.用心爱心专心17.已知关于x的方程有实数根b。(1)求实数的值;(2)若复数满足,当z为何值时有最小值,并求出的最小值。18.设是实系数方程的两根,若是虚数,是实数,求。用心爱心专心试题答案1.D2.A3.A4.D5.D6.D7.A8.B9.D10.D11.D12.C13.B14.A15.A16.C17.解:(1)∵是方程的实根∴∴∴(2)设∵∴即整理,得∴复数对应点的轨迹是以为圆心,以为半径的圆。如图所示连结圆心和原点O,并延长交圆于点P,当复数z为点P对应的复数时,最小可求得∴,18.解:∵∴∴∵∴用心爱心专心

1、当您付费下载文档后,您只拥有了使用权限,并不意味着购买了版权,文档只能用于自身使用,不得用于其他商业用途(如 [转卖]进行直接盈利或[编辑后售卖]进行间接盈利)。
2、本站所有内容均由合作方或网友上传,本站不对文档的完整性、权威性及其观点立场正确性做任何保证或承诺!文档内容仅供研究参考,付费前请自行鉴别。
3、如文档内容存在违规,或者侵犯商业秘密、侵犯著作权等,请点击“违规举报”。

碎片内容

高二数学(理)复数的模、复数综合人教实验版(A)知识精讲

慧源书店+ 关注
实名认证
内容提供者

从事历史教学,热爱教育,高度负责。

确认删除?
VIP
微信客服
  • 扫码咨询
会员Q群
  • 会员专属群点击这里加入QQ群
客服邮箱
回到顶部