电脑桌面
添加小米粒文库到电脑桌面
安装后可以在桌面快捷访问

浙江省高三数学等比数列 人教版 课件VIP免费

浙江省高三数学等比数列 人教版 课件_第1页
1/10
浙江省高三数学等比数列 人教版 课件_第2页
2/10
浙江省高三数学等比数列 人教版 课件_第3页
3/10
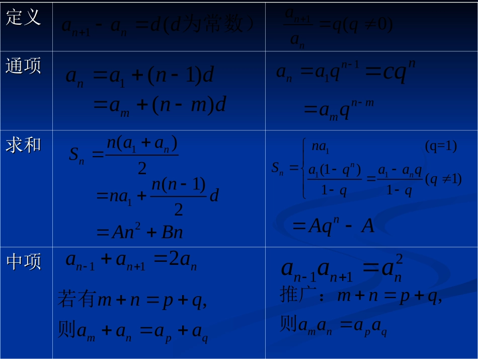
等比数列定义定义通项通项求和求和中项中项1(nnaadd为常数)1(0)nnaqqa1(1)naand11nnaaq()manmdnmmaq1()2nnnaaS1(1)2nnnad111(q=1)(1)(1)11nnnnaSaaqaqqqq112nnnaaa,mnpqmnpqaaaa若有则211nnnaaa,mnpqmnpqaaaa推广:则2AnBnnAqAncq常见题型分析1.求等比数列的基本量25162{},2,,3nnaqanS()是等比数列求前项的和4451111612,33aaqaa解:11(12)(1)13(21)1123nnnnaqSq12.{}(94)4nnnnnanS例如果数列的前项和,那么这个数列()A、是等差数列而不是等比数列B、是等比数列而不是等差数列C、既是等比数列又是等差数列D、既不是等差数列又不是等比数列2.等比数列的判定判定方法11(0)nnaqqa()定义:2113(0)nnnnaaaa()(2)(,nnacqcq均为不等于0的常数)(4)nnSAqAB3.等比数列定义及通项的运用13572468131{},3naqaaaaaaaa例()已知等比数列的公比则等于3012330369302{},2,2,naqaaaaaaaa()设是由正数组成的等比数列公比为且则1472810258292036930,,,aaaaxaaaaxqaaaaxq解:3303032,1,1xqxx-32022071141410{},6,5,232311323232naaaaaaaABCD例4(1)在等比数列中则等于、或、、、或4.等比中项的性质的运用44141423,32aaaa1020141043223aaqaa或A7114144146,5aaaaaa解:7114144146,5aaaaaa解:5631323102{},9,logloglognaaaaaa()在各项均为正数的等比数列中若则5531210311035651033loglog()log()log9log310aaaaaaa解:10课堂小结:本节课我们简单的回顾了等差数列的有关概念公式,在此基础上回顾了等比数列的有关概念及公式,并通过几个简单的练习加深了对公式的理解和记忆.1,,,,nnaqnaS1.在等比数列的()中,若已知其中三个利用通项公式和前项和公式,建立方程组便可求出另两个,即“知三求二”11(0)nnaqqa()定义:(2)(,nnacqcq均为不等于0的常数)2113nnnaaa()(4)nnSAqA2.等比数列的判定方法有如下四个3.等比数列的有关概念及公式要牢记12(1(2)(3)(4)nnnnaadaknbSAnBnAB判定一个数列是等差数列的方法:)(k,b为常数)等差中项(,为常数)1

1、当您付费下载文档后,您只拥有了使用权限,并不意味着购买了版权,文档只能用于自身使用,不得用于其他商业用途(如 [转卖]进行直接盈利或[编辑后售卖]进行间接盈利)。
2、本站所有内容均由合作方或网友上传,本站不对文档的完整性、权威性及其观点立场正确性做任何保证或承诺!文档内容仅供研究参考,付费前请自行鉴别。
3、如文档内容存在违规,或者侵犯商业秘密、侵犯著作权等,请点击“违规举报”。

碎片内容

浙江省高三数学等比数列 人教版 课件

您可能关注的文档

雨丝书吧+ 关注
实名认证
内容提供者

乐于和他人分享知识,从事历史教学,热爱教育,高度负责。

相关文档

确认删除?
VIP
微信客服
  • 扫码咨询
会员Q群
  • 会员专属群点击这里加入QQ群
客服邮箱
回到顶部