电脑桌面
添加小米粒文库到电脑桌面
安装后可以在桌面快捷访问

湖南省高三数学总复习一轮 第2单元第4讲 函数的概念及解析式与定义域精品课件 理 新课标 课件VIP免费

湖南省高三数学总复习一轮 第2单元第4讲 函数的概念及解析式与定义域精品课件 理 新课标 课件湖南省高三数学总复习一轮 第2单元第4讲 函数的概念及解析式与定义域精品课件 理 新课标 课件湖南省高三数学总复习一轮 第2单元第4讲 函数的概念及解析式与定义域精品课件 理 新课标 课件湖南省高三数学总复习一轮 第2单元第4讲 函数的概念及解析式与定义域精品课件 理 新课标 课件湖南省高三数学总复习一轮 第2单元第4讲 函数的概念及解析式与定义域精品课件 理 新课标 课件
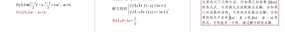
理解函数的概念;掌握简单函数的定义域的求法;掌握求函数解析式的常用方法.A.两个函数的定义域相同、对应法则也相同时为同一函数解 ,析:故选22323(0) A() BC 1 .Dy x xxyxyxyxyx下列函数中,与函数 =是同一个函数的是 . == . =.. =  1232 2( ),2 log1 2 A 0 B 1 C 2 2. D 3xexf xffxx则的值为....    231 12log (21)C.12122ffffe-==,===解 ,析:故选忽视自变量取值与对应函数关系式的联系,错易错点: 用解析式.[ 3,0]1,31,5解析: 由图观察知,定义域为,值域为 .   3 .. y f xy f x已知函数 =的图象如图所示,则 =的定义域是,值域是 2010402114.xxxxx解析: -或,得 由2lg(4) .14.xyxx的定义域是  39log 9 2.y f依解析: =题意==, 3.lo5g9 . .fABAxfyyf xxAf定义映射 :若集合 中的元素 在对应法则 的作用下的值为 ,且满足 ==,则集合 中的元素 在对应法则 的作用下的值是  _________________________________________________________________________1___2ABfABf xfABABxA设 、 是非空的数集,如果按照某种确定的对应关系 ,使对于集合 中的①,在集合 中都有②的数和它对应,那么就称 :为从.函数的概念.函数的三要集合 到集合 的一个函数,其中 的取值范围 叫函数的③,④叫函数的值域,值域是⑤的子集.⑥素______ 为函数的三要素.两函数相同,当且仅当⑦. _____________3_______4____ABfAByfABAB⑧.、 是两个非空的集合,如果按某一个确定的对应关系 ,使对于集合 中的⑨,在集合 中都有⑩的元素 与之对应,那么就称.函数的表示法.映射的概对应 :为从集合 到念集合设的一个映射.  {|}xf xxABx①任意一个数 ;②唯一确定;③定义域;④;⑤集合 ;⑥定义域、对应法则、值域;⑦定义域和对应法则完全相同;⑧解析法、图象法、列表法;⑨任意一个【要元素 ;⑩点指南】唯一确定  22223log (2)__________12.1_____1____2_yxxxyxkxkR函数 =++ 的定义域是;若函数 =的定义域为 ,则实数 的取值范围是例1.题型一 函数的定义式  222230302108{0| 213}22.12xxxxkxxxxkxk ...

1、当您付费下载文档后,您只拥有了使用权限,并不意味着购买了版权,文档只能用于自身使用,不得用于其他商业用途(如 [转卖]进行直接盈利或[编辑后售卖]进行间接盈利)。
2、本站所有内容均由合作方或网友上传,本站不对文档的完整性、权威性及其观点立场正确性做任何保证或承诺!文档内容仅供研究参考,付费前请自行鉴别。
3、如文档内容存在违规,或者侵犯商业秘密、侵犯著作权等,请点击“违规举报”。

碎片内容

湖南省高三数学总复习一轮 第2单元第4讲 函数的概念及解析式与定义域精品课件 理 新课标 课件

您可能关注的文档

圣贤书屋+ 关注
实名认证
内容提供者

热爱教学事业,对互联网知识分享很感兴趣

相关文档

确认删除?
VIP
微信客服
  • 扫码咨询
会员Q群
  • 会员专属群点击这里加入QQ群
客服邮箱
回到顶部