电脑桌面
添加小米粒文库到电脑桌面
安装后可以在桌面快捷访问

八年级数学下册 运用完全平方公式分解因式课件 北师大版 课件VIP免费

八年级数学下册 运用完全平方公式分解因式课件 北师大版 课件八年级数学下册 运用完全平方公式分解因式课件 北师大版 课件八年级数学下册 运用完全平方公式分解因式课件 北师大版 课件八年级数学下册 运用完全平方公式分解因式课件 北师大版 课件八年级数学下册 运用完全平方公式分解因式课件 北师大版 课件
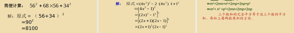
提取公因式法:ma+mb+mc=m(a+b+c)运用公式法: ① a2-b2=(a+b)(a-b)练习把下列各式分解因式 ①② x4-16解 : 原式 =ax2(x2-1) =ax2(x+1)(x-1) =(x2+4)(x2-4)1 、什么是分解因式?分解因式学了哪些方法?24axax (有公因式,先提公因式。)(因式分解要彻底。)解 : 原式 =(x2)2-42 =(x2 +4)(x+2)(x-2)课前复习:课前复习:2 .除了平方差公式外,还学过了哪些公式? 2a b2a b222aab b222aab b完全平方公式 下列整式乘法运算你会吗?⑴ 、( n+m ) 2 = ——————;⑵ 、( x-y ) 2 =——————;⑶ 、( x+b ) 2 = ——————。以上的运算可直接用乘法公式:我们把完全平方公式反过来 , 得( a±b ) 2 =a2±2ab+b2 n2+2mn+ m2x2-2xy+y2 X2+2bx+b2 a2±2ab+b2 = ( a±b ) 2 a 、 b 可以为单项式或多项式你从完全平方公式逆运算可发现什么?利用完全平方公式可对相关的多项式进行分解因式2a b2a b222aab b222aab b现在我们把这个公式反过来 很显然,我们可以运用以上这个公式来分解因式,这种分解因式的方法称为“完全平方公式法”222abab如:2222bababa2222bababa用公式法正确分解因式关键是什么?熟知公式特征!完全平方式从项数看:完全平方式都是有 项3从每一项看:都有两项可化为两个数 ( 或整式 ) 的平方 ,另一项为这两个数 ( 或整式 ) 的乘积的 2倍 .从符号看:带平方的项符号相同(同“ +” 或同“ -” )a2 ± 2 a b + b2 = ( a ± b ) 2 ( 首 ) 2 ± 2( 首项 )( 尾项 )+( 尾 )2=( 首项 ±尾项 )2是否是完全平方式a 、 b 各表示什么表示( a+b ) 2 或( a -b ) 2否是a 表示2y,b 表示3x2)32(xy 是a 表示 (a+b) ,b 表示 12)1( ba填一填填一填962xx241a229124xxyy1)(2)(2baba2)3( x多项式是a 表示 x ,b 表示 3关键看能否把多项式化成“ 首平方,尾平方,首尾乘积的两倍在中央”的形式(1)x2 + 14x + 49 (2)9)(6)(2nmnm解:2233n)(m2)(nm原式2)3(nm例题 分解因式的方法选择完全平式的特征“ 首平方,尾平方首尾乘积的两倍在中央”特征:1 、项数2 、有无公因式可提3 、是否符合公式法要求解:2277x2x原式27)(x ...

1、当您付费下载文档后,您只拥有了使用权限,并不意味着购买了版权,文档只能用于自身使用,不得用于其他商业用途(如 [转卖]进行直接盈利或[编辑后售卖]进行间接盈利)。
2、本站所有内容均由合作方或网友上传,本站不对文档的完整性、权威性及其观点立场正确性做任何保证或承诺!文档内容仅供研究参考,付费前请自行鉴别。
3、如文档内容存在违规,或者侵犯商业秘密、侵犯著作权等,请点击“违规举报”。

碎片内容

八年级数学下册 运用完全平方公式分解因式课件 北师大版 课件

您可能关注的文档

;绿洲书城+ 关注
实名认证
内容提供者

从事历史教学,热爱教育,高度负责。

相关文档

确认删除?
VIP
微信客服
  • 扫码咨询
会员Q群
  • 会员专属群点击这里加入QQ群
客服邮箱
回到顶部