电脑桌面
添加小米粒文库到电脑桌面
安装后可以在桌面快捷访问

西安交通电工技术题解第二章习题VIP免费

西安交通电工技术题解第二章习题_第1页
1/10
西安交通电工技术题解第二章习题_第2页
2/10
西安交通电工技术题解第二章习题_第3页
3/10
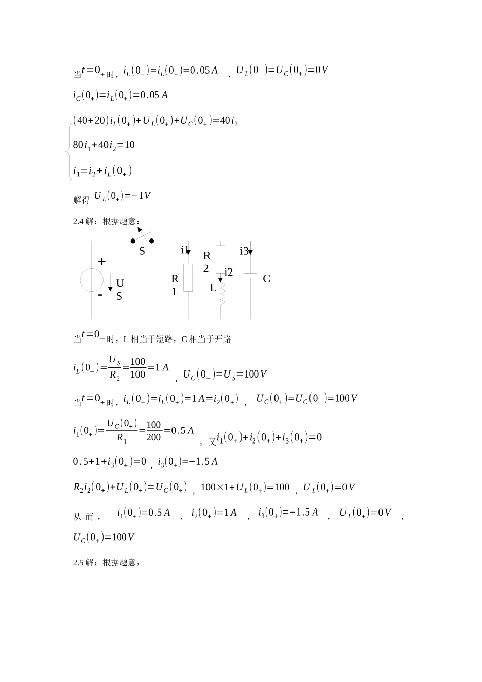
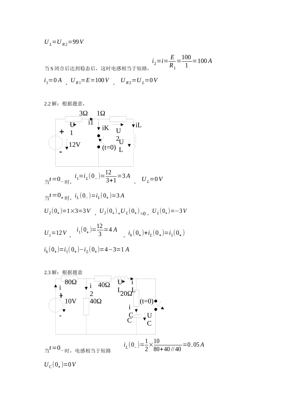
R1g0=0R1i1+-CES(t=0)i2iR1R1i1+-ES(t=0)i2iL第二章习题2.1 解:1)当t=0−时, UC(0−)=0V , 当t=0+ 时, UC(0+ )=UC(0−)=0V 这时电容 C 两端相当于短路i=i2= ER1=1001 =100 A , i1=0 A , U R1=E=100V , U R2=0V2)当 S 闭合后达到稳态时,i=ER1+R2=1001+99=1 A ,i1=i=1 A ,这时电容 C 相当于开路,i2=0 A ,UC=R2R1+R2E=991+99×100=99VU R1=R1R1+R2E=11+99×100=1V ,U R2=UR1=99V3)当用电感元件替换电容元件后,如图所示,当闭合瞬间,即 t=0+时iL(0−)=iL(0+ )=0 A=i2(0+)这 时 电 感L两 端 相 当 于 开 路 i=i1=ER1+R2=1001+99=1 A ,U R1=R1 ER1+R2=1×1001+99 =1V , U R2=R2 ER1+R2=99×1001+99 =99ViL+-U1iKi1U2(t=0)UL12V40Ω40Ω80Ω20Ω+-10Vi2i1ULiCCUC(t=0)iLU L=U R2=99V当 S 闭合后达到稳态后,这时电感相当于短路,i2=i= ER1=1001 =100 Ai1=0 A ,U R1=E=100V , U R2=U L=0V2.2 解:根据题意,当t=0−时,i1=iL(0−)=123+1=3 A , U L=0V当t=0+ 时,iL(0−)=iL(0+ )=3 AU2(0+)=1×3=3V ,U2(0+)+U L(0+)=0 ,U L(0+)=−3VU1=12V , i1(0+ )=123 =4 A ,ik(0+)+iL(0+)=i1(0+ )ik(0+)=i1( 0+)−iL(0+)=4−3=1 A2.3 解:根据题意当t=0−时,电感相当于短路 iL(0−)=12×1080+40 //40 =0.05 AUC(0+ )=0V3Ω1ΩR1i1+-CUSSi2R2Li3当t=0+ 时,iL(0−)=iL(0+ )=0.05 A ,U L(0−)=UC(0+ )=0ViC(0+)=iL(0+)=0.05 A(40+20)iL(0+ )+U L(0+)+UC(0+ )=40i280i1+40i2=10i1=i2+iL(0+ )解得 U L(0+)=−1V2.4 解:根据题意:当t=0−时,L 相当于短路,C 相当于开路iL(0−)=U SR2=100100 =1 A ,UC(0−)=U S=100V当t=0+ 时,iL(0−)=iL(0+ )=1 A=i2(0+) , UC(0+ )=UC(0−)=100Vi1(0+ )=UC(0+)R1=100200 =0.5 A ,又i1(0+ )+i2(0+)+i3(0+)=00.5+1+i3(0+ )=0 ,i3(0+)=−1.5 AR2i2( 0+)+U L(0+)=UC(0+) ,100×1+UL(0+)=100 ,U L(0+)=0V从 而 , i1(0+ )=0.5 A , i2(0+ )=1 A , i3(0+)=−1.5 A , U L(0+)=0V ,UC(0+ )=100V2.5 解:根据题意,R3CR1R21S(t=0)U2i(t)+UC-20V10Ω10Ω2µFS(t=0)当t=0−时,C 相当于开路iL(0−)=UR1+R2=1010+20 =13 mA ,UC(0−)=R2i(0−)=20×13=203 V当t=0+ 时,UC(0+ )=UC(0−)=203 V ,i(0+)=U1(0+)R2=20320 =13 mAi(∞)=0mA...

1、当您付费下载文档后,您只拥有了使用权限,并不意味着购买了版权,文档只能用于自身使用,不得用于其他商业用途(如 [转卖]进行直接盈利或[编辑后售卖]进行间接盈利)。
2、本站所有内容均由合作方或网友上传,本站不对文档的完整性、权威性及其观点立场正确性做任何保证或承诺!文档内容仅供研究参考,付费前请自行鉴别。
3、如文档内容存在违规,或者侵犯商业秘密、侵犯著作权等,请点击“违规举报”。

碎片内容

西安交通电工技术题解第二章习题

您可能关注的文档

文泉书屋+ 关注
实名认证
内容提供者

热爱教学事业,对互联网知识分享很感兴趣

确认删除?
VIP
微信客服
  • 扫码咨询
会员Q群
  • 会员专属群点击这里加入QQ群
客服邮箱
回到顶部