电脑桌面
添加小米粒文库到电脑桌面
安装后可以在桌面快捷访问

初中数学八年级下因式分解VIP免费

初中数学八年级下因式分解_第1页
1/5
初中数学八年级下因式分解_第2页
2/5
初中数学八年级下因式分解_第3页
3/5
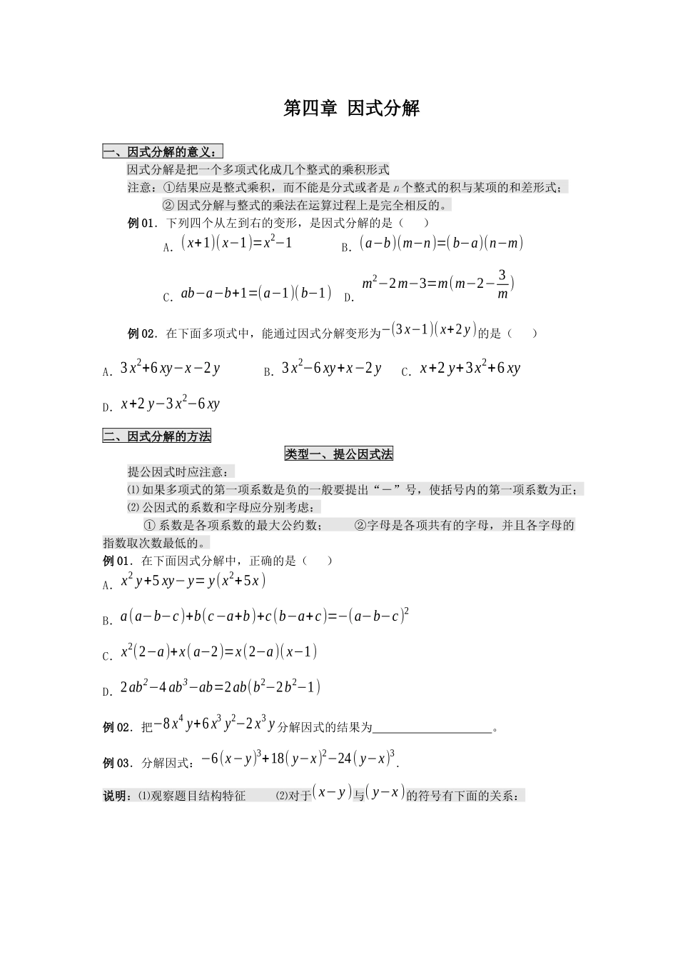
第四章因式分解一、因式分解的意义:因式分解是把一个多项式化成几个整式的乘积形式注意:①结果应是整式乘积,而不能是分式或者是n个整式的积与某项的和差形式;②因式分解与整式的乘法在运算过程上是完全相反的。例01.下列四个从左到右的变形,是因式分解的是()A.(x+1)(x−1)=x2−1B.(a−b)(m−n)=(b−a)(n−m)C.ab−a−b+1=(a−1)(b−1)D.m2−2m−3=m(m−2−3m)例02.在下面多项式中,能通过因式分解变形为−(3x−1)(x+2y)的是()A.3x2+6xy−x−2yB.3x2−6xy+x−2yC.x+2y+3x2+6xyD.x+2y−3x2−6xy二、因式分解的方法类型一、提公因式法提公因式时应注意:⑴如果多项式的第一项系数是负的一般要提出“-”号,使括号内的第一项系数为正;⑵公因式的系数和字母应分别考虑:①系数是各项系数的最大公约数;②字母是各项共有的字母,并且各字母的指数取次数最低的。例01.在下面因式分解中,正确的是()A.x2y+5xy−y=y(x2+5x)B.a(a−b−c)+b(c−a+b)+c(b−a+c)=−(a−b−c)2C.x2(2−a)+x(a−2)=x(2−a)(x−1)D.2ab2−4ab3−ab=2ab(b2−2b2−1)例02.把−8x4y+6x3y2−2x3y分解因式的结果为。例03.分解因式:−6(x−y)3+18(y−x)2−24(y−x)3.说明:⑴观察题目结构特征⑵对于(x−y)与(y−x)的符号有下面的关系:{x−y=−(y−x),¿{(x−y)2=(y−x)2,¿{(x−y)3=−(y−x)3¿¿¿¿例04.解方程:(12x+6)(23x−18)+6(1+2x)(13−23x)=0例05.不解方程组{2m−n=3,¿¿¿¿求:5n(2m−n)2−2(n−2m)3的值.类型二、公式法1、利用平方差公式因式分解:a2−b2=(a+b)(a−b)注意:①条件:两个二次幂的差的形式;②平方差公式中的a、b可以表示一个数、一个单项式或一个多项式;③在用公式前,应将要分解的多项式表示成a2−b2的形式,并弄清a、b分别表示什么。例如:分解因式:(1)1−9x2;(2)4a2−169b2;(3)(m+n)2−4(m−n)22、利用完全平方公式因式分解:a2±2ab+b2=(a±b)2注意:①是关于某个字母(或式子)的二次三项式;②其首尾两项是两个符号相同的平方形式;③中间项恰是这两数乘积的2倍(或乘积2倍的相反数);④使用前应根据题目结构特点,按“先两头,后中间”的步骤,把二次三项式整理成a2±2ab+b2=(a±b)2公式原型,弄清a、b分别表示的量。2、利用立方和立方差公式因式分解:a3±b3=(a±b)(a2∓ab+b2)典型例题:例1用平方差公式分解因式:(1)−9x2+(x−y)2;(2)13m2−3n2说明:因式分解中,多项式的第一项的符号一般不能为负;分数系数一般化为整系数。例2分解因式:(1)a5b−ab;(2)a4(m+n)−b4(m+n).说明:将公式法与提公因式法有机结合起来,先提公因式,再运用公式.例3判断下列各式能否用完全平方公式分解因式,为什么?(1)a2−6a+9;(2)x2−8x+9;(3)4x2−12x−9;(4)−12xy+x2+36y2.说明:可否用公式,就要看所给多项式是否具备公式的特点.例4把下列各式分解因式:⑴−x2+4x−4;⑵42xy−49x2−9y2⑶−m2−4n2+4mn说明:使用完全平方公式时,要保证平方项前的符号为正,当平方项前的符号是负号时,先提出负号.例5分解因式:⑴3ax2+6axy+3ay2.⑵24a2b2−6(a2+b2)2说明:⑴分解因式时,首先考虑有无公因式可提,当有公因式时,先提再分解.⑵分解因式必须进行彻底,直至每个因式都不能再分解为止.例6分解因式:3(m−2n)2−6(2n−m)(m+n)+9(m+n)2;⑵a4−8a2b2+16b4;⑶(m2+2m)2+2(m2+2m)+1.⑷a4−14a2b3+49b6说明:在运用完全平方公式的过程中,再次体现换元思想的应用,可见换元思想是重要而且常用思想方法,要真正理解,学会运用.例7若x2+2(a+4)x+25是完全平方式,求a的值.说明:根据完全平方公式特点求待定系数a,熟练公式中的“a、b”便可自如求解.例8已知a+b=2,求12a2+ab+12b2的值.说明:将所求的代数式变形,使之成为a+b的表达式,然后整体代入求值.例9已知x−y=1,xy=2,求x3y−2x2y2+xy3的值.说明:这类问题一般不适合通过解出x、y的值来代入计算,巧妙的方法是先对所求的代数式进行因式分解,使之转化为关于xy与x−y的式子,再整体代入求值.例10证明:四个连续自然数的积加1,一定是一个完全平方数.说明:可用字母表示出四个连...

1、当您付费下载文档后,您只拥有了使用权限,并不意味着购买了版权,文档只能用于自身使用,不得用于其他商业用途(如 [转卖]进行直接盈利或[编辑后售卖]进行间接盈利)。
2、本站所有内容均由合作方或网友上传,本站不对文档的完整性、权威性及其观点立场正确性做任何保证或承诺!文档内容仅供研究参考,付费前请自行鉴别。
3、如文档内容存在违规,或者侵犯商业秘密、侵犯著作权等,请点击“违规举报”。

碎片内容

初中数学八年级下因式分解

文章天下+ 关注
实名认证
内容提供者

各种文档应有尽有

确认删除?
VIP
微信客服
  • 扫码咨询
会员Q群
  • 会员专属群点击这里加入QQ群
客服邮箱
回到顶部