电脑桌面
添加小米粒文库到电脑桌面
安装后可以在桌面快捷访问

贝叶斯统计-习题答案)VIP免费

贝叶斯统计-习题答案)_第1页
1/33
贝叶斯统计-习题答案)_第2页
2/33
贝叶斯统计-习题答案)_第3页
3/33
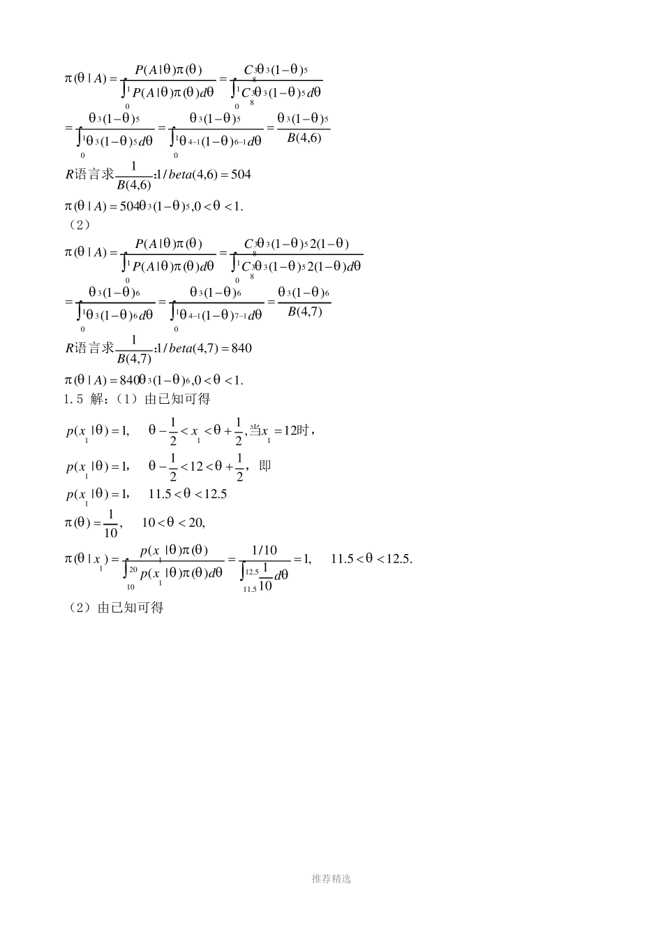
推荐精选 第一章 先验分布与后验分布 1.1 解:令120.1,0.2 设 A 为从产品中随机取出 8 个,有 2 个不合格,则 22618()0.1 0.90.1488P AC 22628()0.2 0.80.2936P AC 从而有 5418.03.02936.07.01488.07.01488.0)()|()()|()()|()|(2211111APAPAPA4582.0)|(1)|(4582.03.02936.07.01488.03.02936.0)()|()()|()()|()|(122211222AAorAPAPAPA 1.2 解:令121,1.5 设 X 为一卷磁带上的缺陷数,则( )XP  3(3)3!eP X R 语言求:)4(/)exp(*)3(^gamma 1122(3)(3) ()(3) ()0.0998P XP XP X     从而有 111222(3) ()(3)0.2457(3)(3) ()(3)0.7543(3)P XXP XP XXP X       1.3 解:设 A 为从产品中随机取出 8 个,有 3 个不合格,则 3358()(1)P AC (1 ) 由题意知 ( )1,01   从而有 推荐精选 .10,)1(504)|(504)6,4(/1)6,4(1)6,4()1()1()1()1()1()1()1()()|()()|()|(535310161453105353105338533810AbetaBRBdddCCdAPAPA:语言求 (2) .10,)1(840)|(840)7,4(/1)7,4(1)7,4()1()1()1()1()1()1(2)1()1(2)1()()|()()|()|(636310171463106363105338533810AbetaBRBdddCCdAPAPA:语言求 1.5 解:(1)由已知可得 .5.125.11,110110/1)()|()()|()|(,2010,101)(5.125.111)|(2112211)|(12,2121,1)|(5.125.11201011111111ddxpxpxxpxpxxxp,,即,时,当 (2)由已知可得 推荐精选 .6.115.11,1010110/1)()|,,()()|,,(),,|(,2010,101)(6.115.111)|,,(,219.1121,214.1121,211.1121,217.1121215.11212112211)|,,(9.11,4.11,1.11,7.11,5.11,0.12,6,2,1,2121,1)|,,(6.115.112010621621621621621654321621...

1、当您付费下载文档后,您只拥有了使用权限,并不意味着购买了版权,文档只能用于自身使用,不得用于其他商业用途(如 [转卖]进行直接盈利或[编辑后售卖]进行间接盈利)。
2、本站所有内容均由合作方或网友上传,本站不对文档的完整性、权威性及其观点立场正确性做任何保证或承诺!文档内容仅供研究参考,付费前请自行鉴别。
3、如文档内容存在违规,或者侵犯商业秘密、侵犯著作权等,请点击“违规举报”。

碎片内容

贝叶斯统计-习题答案)

最好的沉淀+ 关注
实名认证
内容提供者

行业文档

确认删除?
VIP
微信客服
  • 扫码咨询
会员Q群
  • 会员专属群点击这里加入QQ群
客服邮箱
回到顶部