电脑桌面
添加小米粒文库到电脑桌面
安装后可以在桌面快捷访问

等比数列练习题VIP免费

等比数列练习题_第1页
1/6
等比数列练习题_第2页
2/6
等比数列练习题_第3页
3/6
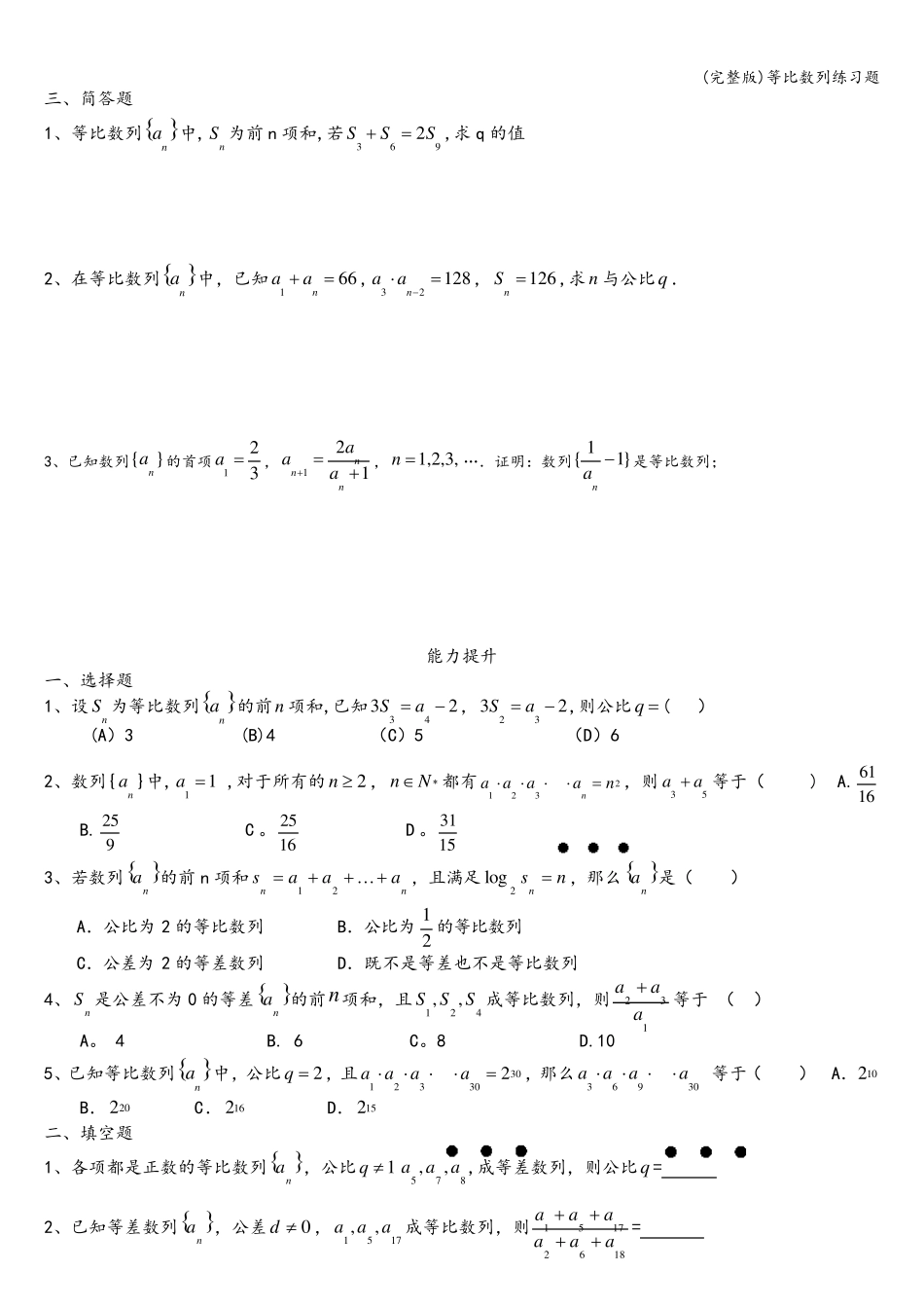
(完整版)等比数列练习题 基础巩固 一、选择题 1、如果一个数列既是等差数列,又是等比数列,则此数列( ) (A)为常数数列 (B)为非零的常数数列 (C)存在且唯一 (D)不存在 2、已知等比数列{an}中,a6﹣2a3=2,a5﹣2a2=1,则等比数列{an}的公比是( ) A. ﹣1 B. 2 C. 3 D. 4 3、在等比数列{an}中 a2=3,则 a1a2a3=( ) A. 81 B. 27 C. 22 D. 9 4、已知等比数列 na中,na >0,243546225a aa aa a,那么35aa=( ) A 5 B 10 C 15 D 20 5、在等比数列 na中,5615160 ,,aaa aaab则2526aa ( ) A ba B 22ba C 2ba D 2ba 6、如果﹣1,a,b,c,﹣9 成等比数列,那么( ) A. b=3,ac=9 B. b=﹣3,ac=9 C. b=3,ac=﹣9 D. b=﹣3,ac=﹣9 7、在等差数列 na中,41 a,且1a ,5a ,13a 成等比数列,则 na的通项公式为 ( ) (A)13  nan (B)3 nan (C)13  nan或4na (D)3 nan或4na 8、若等比数列{an}满足 a4+a8=﹣3,则 a6(a2+2a6+a10)=( ) A. 9 B. 6 C. 3 D. ﹣3 9、已知cba,,成等比数列,且yx,分别为 a 与b 、b 与c 的等差中项,则ycxa 的值为( ) (A) 21 (B)2 (C)2 (D) 不确定 10、设等比数列{an}的前 n 项和为 Sn,若=3,则=( ) A. B. C. D. 1 二、填空题 1、已知 na为等比数列,6,3876321aaaaaa,则131211aaa= . 2、在等比数列{an}中,an>0,且 an+2=an+an+1,则该数列的公比q=___ ___. 3、等比数列{an}的首项 a1=﹣1,前 n 项和为 Sn,若,则公比q 等于_________ . 4、已知等比数列}{na前 n 项和为 48,前 2n 项和为 60,则其前 3n 项的和为____ ___ 5、已知nS 为等比数列 na前 n 项和,93nS,48na,公比2q,则项数n 。 6、在 83和 272之间插入三个数,使这五个数成等比数列,则插入的三个数的乘积为____ 。 (完整版)等比数列练习题 三、简答题 1、等比数列 na中,nS 为前n 项和,若3692SSS,求q 的值 2、在等比数列 na中,已知166naa,32128naa,126nS ,求n 与公比q . 3、已知数列{}na的首项123a ,121nnnaaa ,1,2,3,n ….证明:数列1{1}na 是等比数列; 能力提升 一、选择题...

1、当您付费下载文档后,您只拥有了使用权限,并不意味着购买了版权,文档只能用于自身使用,不得用于其他商业用途(如 [转卖]进行直接盈利或[编辑后售卖]进行间接盈利)。
2、本站所有内容均由合作方或网友上传,本站不对文档的完整性、权威性及其观点立场正确性做任何保证或承诺!文档内容仅供研究参考,付费前请自行鉴别。
3、如文档内容存在违规,或者侵犯商业秘密、侵犯著作权等,请点击“违规举报”。

碎片内容

等比数列练习题

确认删除?
VIP
微信客服
  • 扫码咨询
会员Q群
  • 会员专属群点击这里加入QQ群
客服邮箱
回到顶部