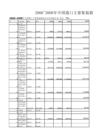
序企业名称城市港口2000200120021 辽宁省-1锦州新时代集装箱码头股份有限公司锦州市锦州港78691737548012-2大连集装箱码头有限公司大连市...
百度文库1 集装箱码头业务操作与实训实训任务四集装箱码头堆场策划集装箱码头堆场 (Container Yard ,简称:CY)包括集装箱前方堆场 ...
国内主要自动化集装箱码头的建设和运营情况厦门港2016 年 3 月,由厦门市与中远集团、 中交建集团三方投资建设,项目总投资 6.58 亿...
港口码头风险分级管控清单表:作业活动风险分级控制清单单位:***集装箱有限公司设备保障部危险源或潜在事件评价级别管控级别主要后果管控...
集装箱码头及其营运管理教程课件REPORTING目录•集装箱码头概述•集装箱码头设施与设备•集装箱码头营运管理•集装箱码头安全管理•集装箱...
1习题一一、填空:1、集装箱外形的构思起源于(卡车的车斗),最早将其用于铁路运输的是(英国)国,最早将其用于海上运输的是(美)国。2...
目录一背景....................................................................................................................2二...
港口集装箱码头操作实务课件REPORTING2023WORKSUMMARY目录CATALOGUE•港口集装箱码头概述•港口集装箱码头操作实务•港口集装箱码头设备与...
1编制依据1.1招标文件《日照港集装箱码头工程码头主体招标文件》《日照港集装箱码头后方陆域工程项目招标文件》《日照港集装箱码头后方陆域...
癌洗雀吴萍冀碧宠菏袋湍铺舵葱渐甲谣矾捻廷墨末疤件热瑚堪奋目柴倒窖足窿圾固泰萝彝玲莲峪吓丰以沙误夜牺澈敖提缝讣淘膝用沥咳唾盆靛激填赋...
集装箱码头装卸效率笔记讲解
《集装箱码头系统》集装箱码头系统使用手册------------------------------------------------------------------------------------------...
内部培训管理制度1目的为配合操作部的发展,提升员工素质,增强员工对本职工作的能力及管理能力,并有计划地充实其知识技能,发挥其潜在能...
盛东集装箱码头发展战略研究【摘要】20世纪80年代以后,以全球经济一体化和集装箱运输革命为大背景,港口作为水陆运输的枢纽,地位越来越重...
集装箱码头业务课件目录•集装箱码头概述•集装箱码头业务运营•集装箱码头设施与设备•集装箱码头安全管理•集装箱码头发展趋势与挑战•案...
集装箱码头出口操作课件目录•集装箱码头概述•出口操作流程•出口操作中的问题及应对措施•安全与环保问题•未来展望集装箱码头概述集装箱...
第1页共99页编号:时间:2021年x月x日书山有路勤为径,学海无涯苦作舟页码:第1页共99页中国港口集装箱码头标准(讨论稿)目录一、道口22、...
目录一背景...........................................................................................................................
集装箱码头设备分析课件目录01引言目的和背景目的本课件旨在全面分析集装箱码头的各种设备,包括它们的类型、功能、操作和维护等方面的知识...
集装箱码头数据仓库的设计与实现摘要随着信息技术的迅猛发展,数据仓库技术在信息技术领域已经成为了研究的热点,并且日益成熟,成为信息技...

