电脑桌面
添加小米粒文库到电脑桌面
安装后可以在桌面快捷访问

集装箱码头系统讲解VIP免费

集装箱码头系统讲解_第1页
1/50
集装箱码头系统讲解_第2页
2/50
集装箱码头系统讲解_第3页
3/50
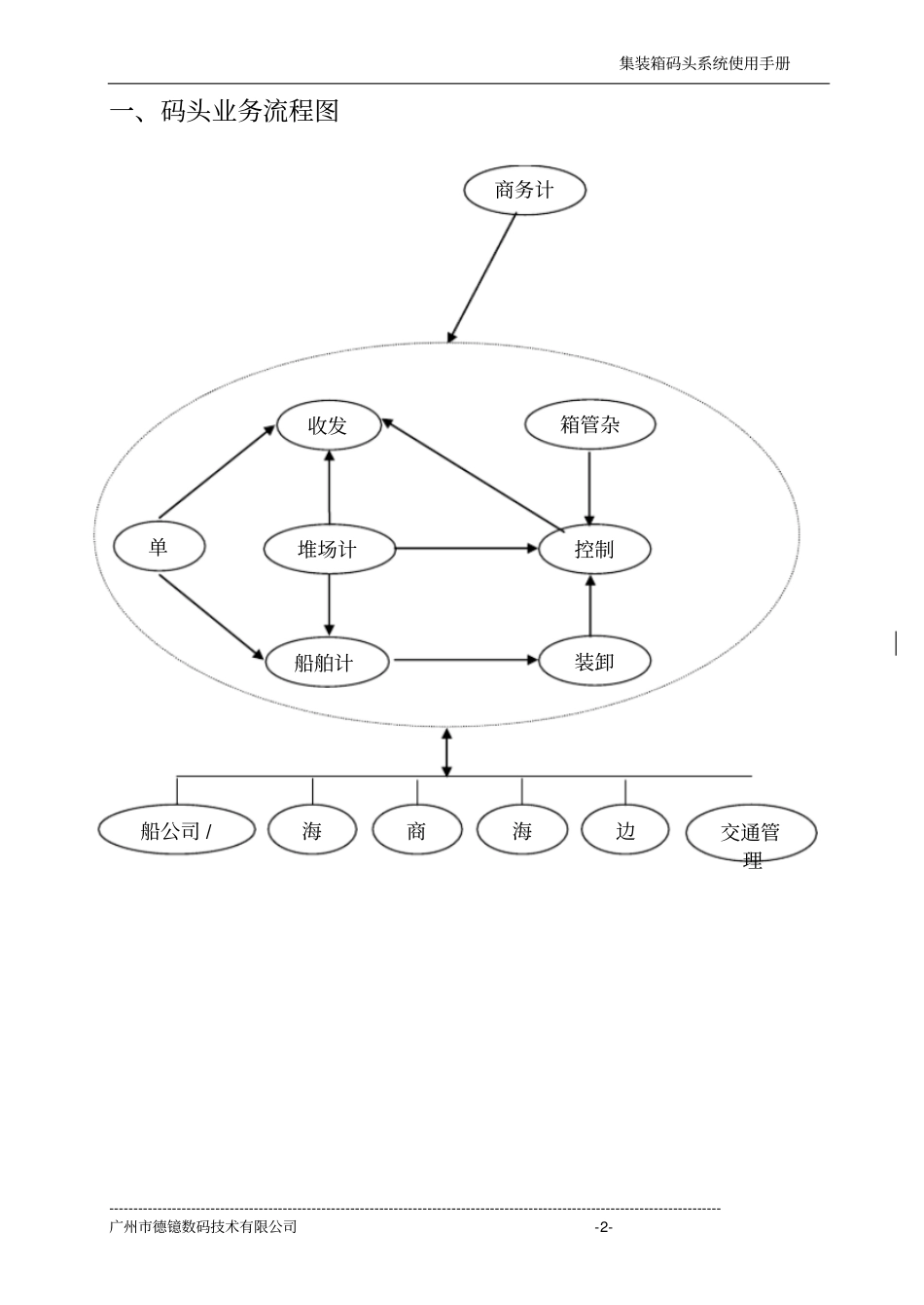
《集装箱码头系统》集装箱码头系统使用手册-------------------------------------------------------------------------------------------------------------------------------广州市德镱数码技术有限公司-2-一、码头业务流程图商务计船公司/海商海边交通管理收发船舶计装卸控制箱管杂单堆场计集装箱码头系统使用手册-------------------------------------------------------------------------------------------------------------------------------广州市德镱数码技术有限公司-3-二、系统图示三、系统功能说明1、基础数据管理模块系统功能描述管理系统中涉及的各种基础运作代码及数据。包括:基础数据管理装卸船中控服务台商务单证设备码头操作处理系统统计分析闸口杂项处理系统管理计划CFS处理集装箱码头系统使用手册-------------------------------------------------------------------------------------------------------------------------------广州市德镱数码技术有限公司-4-集装箱代码、ISOCODE、箱型、尺寸、材质。船舶资料船舶基础信息:包括船舶代码、船名、船籍、呼号、吨位、吃水、船舶结构信息。船舶结构:定义集装箱船舶每个BAY的放箱条件,包括该BAY中可放箱的尺寸、箱型、是否可放危品。港口资料定义港口国际标准代码、港口信息。航线信息定义航线名称、航线经靠港口、航线代码。外部单位资料定义、维护与码头业务关联的外部协作单位资料。包括:船公司、箱主、拖车公司。码头内部资料堆场结构定义:集装箱堆放场位按照场位号、栏位号、BAY号、排号构成,系统中在此定义。场地信息堆场图形位置定义:定义堆场内部各区域的图形位置,以便系统中按实际堆场布局显示堆场信息。部门信息定义码头内部各部门的具体信息。设备资料定义码头内部主要操作设备的基础资料。系统流程图2、计划模块系统功能描述计划部门负责在船舶到港前,预先调配场位、设备、人员等相关资源,对整个码头即将发生的集装箱进出口业务进行资源分配,使装卸船、收发箱、堆场内部操作等业务集装箱代码船舶资料航线信息外部单位码头内部资料业务操作集装箱码头系统使用手册-------------------------------------------------------------------------------------------------------------------------------广州市德镱数码技术有限公司-5-发生时能够按照计划进行。根据商务合同生成长期船舶预报(班轮)计划。根据船公司发来的船舶到港预报信息登记近期船期计划(确报)。相关重要信息包括:海关十六位舱单号码录入(进口航次、出口航次),其中船舶编码为12位,航次编码为4位;船舶资料、航线信息、来去港、预计装卸量;进出口船公司;进出口航次;ETA、ETD;是否需要联检。根据船期计划及泊位分配利用情况,对预计靠泊的船舶指定停靠泊位,通过将泊位分配情况按照船舶预计到港时间(ETA)排序,形成泊位计划图(BA),该图用以观察码头泊位利用情况。设备及人员分配计划根据泊位计划及船期计划信息,对船舶装卸作业所需要的资源进行预分配。包括:按贝及设备情况划分船舶作业线;按作业线、贝分配岸边作业设备(门机、岸桥);分配场内作业设备(场桥、叉车);指定人员作业班次及具体作业人员。堆场计划码头日常业务运作中,堆场的合理堆放可有效提高作业效率。在进出口业务、外堆场业务发生前,计划人员需要及时制定堆场计划,按照业务要求(船名、航次、船公司、箱主、尺寸等),指定堆存区域,以便在收发箱、装卸船、堆场内部操作时,系统根据集装箱属性查找堆场计划,从而自动指定堆存区域,使整个堆场箱的堆放符合堆场计划的要求,达到提高堆场利用效率、降低捣箱率的目的。计划人员在日常工作中,需随时根据现场运作情况及业务预报管理堆场计划,在船期计划、外堆场收发箱计划制定后,根据现场操作情况及船舶到港时间、收箱时间制定堆场计划。因此,计划人员应具备对整个堆场布局的掌握与调控能力,以便使堆场计划能够满足将要进场箱的堆场要求。可指定值的具体属性:船公司、箱主、进口船名、进口航次、出口船名、出口航次、ISO代码、卸货港、目的港、重量级别、箱型、尺寸、空重、箱字头、...

1、当您付费下载文档后,您只拥有了使用权限,并不意味着购买了版权,文档只能用于自身使用,不得用于其他商业用途(如 [转卖]进行直接盈利或[编辑后售卖]进行间接盈利)。
2、本站所有内容均由合作方或网友上传,本站不对文档的完整性、权威性及其观点立场正确性做任何保证或承诺!文档内容仅供研究参考,付费前请自行鉴别。
3、如文档内容存在违规,或者侵犯商业秘密、侵犯著作权等,请点击“违规举报”。

碎片内容

集装箱码头系统讲解

您可能关注的文档

确认删除?
VIP
微信客服
  • 扫码咨询
会员Q群
  • 会员专属群点击这里加入QQ群
客服邮箱
回到顶部