初三中考化学计算题大全宝典 1 初三中考化学计算题大全宝典 初中化学计算题的类型包括化学式计算、化合价计算、化学方程式计算、溶液计...
初一计算题集
初一计算题500道(各个题型全集)全初中题型都在这
卓越教育 第 1 页 共 17 页 一、有理数计算: (1)27—18+(—7)—32 (2)(-7)+ 11 + 3 +(-2); 二、整式计算: ...
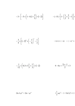
课堂练习: (2m+2)×4m2 (2x+y)2-(2x-y)2 ( 31xy)2·(-12x2y2)÷(-34x3y) 课后练习: ○122( )4 ( 23 )xyxy ○26...
1 6.32.53.44.15.1 21316 24161315.0 )7.1(5.2)4.2(5.23.75.2...
初一数学计算题及答案50题
1 8141211 )3(31)2( 18 )5()2()1 0(8 )6()1 1()8(1 2 12—(—18)+...
初 一数学有理数计算题分类及混合运算练习题 有理数加法 1 、(-9 )+(-1 3 ) 2 、(-1 2 )+2 7 3 、(-2 8 )+(...
专题一计算题训练 一.计算题 1.计算题:|﹣2|﹣(1+)0+. 2.计算题:﹣12009+4×(﹣3)2+(﹣6)÷(﹣2) 3. 4 . ||﹣. 5...
1. (9 分 )某 市 中 学 生 排 球 赛 中 , 按 胜 一 场 得 2 分 , 平 一 场 得 1 分 , 负 一 场 得 0...
初一数学100 道有理数计算题 1、 111117(113 ) ( 2 )92844 2、419932( 4)(1416)41313 3...
1 姓名 2 3 4 5 6 7 8 9 10 11 12 13 14 15 16 17 18 19 20 21 22 23 24 25 26 27 28 29
卓越教育 第 1 页 共 17 页 第一天: 一、有理数计算: (1)27—18+(—7)—32 (2)(-7)+ 11 + 3 +(-2); 二、整...
第 1 页 共 6 页 二、解下列不等式 1. 2(2x-3)<5(x-1). 10-3(x+6)≤1. 2. 22531xx 612131yyy 3...
第1页(共26页) 初一(七年级)数学综合计算及答案 一.解答题(共25 小题) 1.计算 (1)(﹣8)+47+8+(﹣27) (2)﹣2﹣(﹣4...
初一上册整式计算题 (一)填空 3.3ab-4ab+8ab-7ab+ab=______. 4.7x-(5x-5y)-y=______. 5.23a3bc2-15ab2c+8abc-24a3bc2-8abc=______...
1.25×(8+10) =1.25×8+1.25×10 =10+12.5=22.5 9123-(123+8.8) =9123-123-8.8 =9000-8.8 =8991.2 1.24×8.3+8.3×1.76 =8.3×...
专业除法软件辅导孩子学习竖式除法 小数除法竖式计算题 一 25.2 ÷ 6= 34.5 ÷ 1.5= 5.6 ÷ 0.04= 1.8 ÷ 12= 1.8 ÷ 1.2...
递等式 100*5 1)1415 -1315 + 815 2)41517 +8 712 +3 217 3)618 -156 -31516 4)6.5+116 -4.8 5)1538 -534...

