电脑桌面
添加小米粒文库到电脑桌面
安装后可以在桌面快捷访问

初一数学100道有理数计算题VIP免费

初一数学100道有理数计算题_第1页
1/6
初一数学100道有理数计算题_第2页
2/6
初一数学100道有理数计算题_第3页
3/6
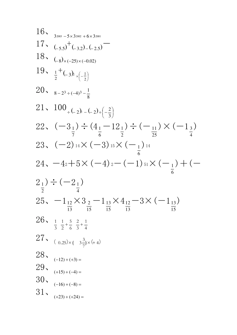
初一数学100 道有理数计算题 1、 111117(113 ) ( 2 )92844  2、419932( 4)(1416)41313  3、 33221121(55 33 )22    4、2335( 2)(1 0.8)1 14   5、(—315 )÷(—16)÷(—2) 6、 –4 + 2 ×(-3) –6÷ 7、(—5)÷[—(2—431 )×7] 8、 18÷{1-[+ ]× 9、1÷( 61 -31)×61 10、 –3-[4-×31)]×[-2+(-3) ] 11、 8+(-41)- 5- (- 12、 99 × 26 13、 14、|])21((|31)322(|)2(41[|)116(21523 15、13611754136227231; 16、2 0 0 12 0 0 22 0 0 336353 17、5.5+2.35.2- 18、8)0 2.0()2 5( 19、21 +2321 20、81)4(2833 21、100 22232 22、(-371 )÷(461 -1221 )÷(-2 51 1 )×(-143 ) 23、(-2)14×(-3)15×(-61 )14 24、-42+5×(-4)2-(-1)51×(-61 )+(-221 )÷(-241 ) 25、-11 31 2 ×31 52 -11 51 3 ×41 31 2 -3×(-11 51 3 ) 26、41+3265+2131-- 27、()()4+×733×250)-(.- 28、)3()1 2( 29、)4()1 5( 30、)8()1 6( 31、 )2 4()2 3( 32、132)102( 33、 (-11)(-32) 34、0)35( 35、)85(78 36、)3()26()2()4()14( 37、)15()41()26()83( 38、)2.0(3.1)9.0()7.0()8.1( 39、)326()434()313(41 40、)15()14( 41、)16()14( 42、)9()12( 43、)17(12 44、)52(0 45、)11(108 46、)3.2(8.4 47、)213(2 48、)5()]7()4[( 49、]12)3[(3 50、)109(8 51、)106()53( 52、543210 53、2.104.87.52.4 54、18)12()10(1130 55、)61(41)31()412(213 56、2111943 57、31211 58、)]18()21(26[13 59、2111)43(412 60、 (-4)3 61、 (-6)2 62、 0(-6) 63、)43(32 64、)21()2( 65、)25....

1、当您付费下载文档后,您只拥有了使用权限,并不意味着购买了版权,文档只能用于自身使用,不得用于其他商业用途(如 [转卖]进行直接盈利或[编辑后售卖]进行间接盈利)。
2、本站所有内容均由合作方或网友上传,本站不对文档的完整性、权威性及其观点立场正确性做任何保证或承诺!文档内容仅供研究参考,付费前请自行鉴别。
3、如文档内容存在违规,或者侵犯商业秘密、侵犯著作权等,请点击“违规举报”。

碎片内容

初一数学100道有理数计算题

小辰5+ 关注
实名认证
内容提供者

出售各种资料和文档

相关文档

确认删除?
VIP
微信客服
  • 扫码咨询
会员Q群
  • 会员专属群点击这里加入QQ群
客服邮箱
回到顶部