序号名称单位备注1八宝景天 冠福0.15-0.2m,高度0.15-0.2m,密度36株/m2,3-5芽株2八宝景天 冠福0.2-0.3m,高度0.3-0.4m,密度36墩/m2株3八宝...
常绿乔木 雪 松 Cedrus deodara (Rexb.) G. Don 释放杀菌素,减噪 龙 柏 Sabina chinensis (L.) Ant. cv. ’kaizuca’ 抗...
园林树木花期一览表 以下植物排列大致按照乔灌木-草本地被-藤本的顺序。 一月开花的植物: 中国水仙——石蒜科——(1-3 月), 炮仗...
下载后可任意编辑贵阳市公务员招考职位计划一览表1下载后可任意编辑2 贵阳市公务员招考职位计划一览表来源:贵州人事人才网 -5-1 编辑:福...
下载后可任意编辑货物需求一览表及技术规格1下载后可任意编辑第八章 货物需求一览表及技术规格1. 设备需求一览表1.1 设备名称数量: A ...
下载后可任意编辑货物需求一览表及技术要求1下载后可任意编辑第三章 货物需求一览表及技术要求一 设备清单: 第一包: 立式加工中心 1 ...
下载后可任意编辑货物需求一览表及技术规格样稿1下载后可任意编辑第八章 货物需求一览表及技术规格1. 设备需求一览表1.1 设备名称数量:...
下载后可任意编辑职业资格证书和职称的区别一览表下载后可任意编辑职业资格证书和职称的区别 职业资格证书和职称是完全不一样的东西,现在...
劳动组织一览表我矿传统作业方式:早班检修班,二班和三连四班为生产班;三连四班上一天休一天。工种人数班次早班(检修班)当天二班(生产...
附件 1 禁止井工煤矿使用的设备及工艺(第一批、第二批)淘汰情况检查一览表检查类型:□煤矿自查□监察机构检查矿井名称:地点:序号禁...
焊接质量控制和检验页脚内容 1焊接质量控制点一览表控制环节控制点控制内容责任分工控制类别工作见证焊接工艺评定焊接工艺说明材料,接头...
1广东南路排水工程A标北海市城市建设投资发展有限公司广西桂新工程咨询集团有限公司玉林市市政建筑工程公司广西华蓝设计(集团)有限公司北海...
附九:北方常见园林植物一览表 北方常见园林植物一览表(常绿树) 植物名称 科、属、学名 识别特征 习性 繁殖 方法 株高 (米) ...
北京星级饭店一览表
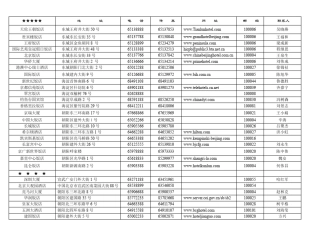
北京昌平区幼儿园一览表 学校名称 邮政编码 学校详细地址 北京市昌平区财贸幼儿园 102200 北京市昌平区八街大将军胡同 2 号 北京...
北京市自住型商品房项目概况一览表(摘自网络,不断完善中)
爱民街社区(西城) 安德里社区(东城),安德路社区(东城),安德路社区〖南、北〗(西城) 安河桥社区(海淀) 安华里社区(朝阳),...
饭 店 名 称星 级区 县地 址电 话邮 编中 国 大 饭 店白 金 五星朝 阳 区朝 阳 建 外 大 街 1号65052266100004北 ...
北京市房山区公立幼儿园一览表
北京市房地产开发费用一览表 1 土地成交价格 成交价/建筑面积 成交价格除以建筑面积 2 契税 成交价*3%/建筑面积 《北京市契税管理...

