授课年级高一授课班级授课日期授课节次教学课题轮胎拆装授课教师教学目标通过学习,学生能够说出:1、汽车车轮和轮胎的结构;2、正确使用轮...
教案2018〜2019 学年第一学期课程名称:汽车底盘构造与维修课程类型:专业课授课班级:职 17 汽车 2 班 任课教师:教研组审核:系(...
精品文档---下载后可任意编辑MEMS 汽车轮胎压力传感器的芯片设计与制作的开题报告1. 毕业设计选题背景随着汽车销量、公路通行量的增加,...
十大主流汽车轮胎品牌简介汇总 2008-12-09 14:45 米其林 在1898年里昂的第一次展览会上,米其林兄弟发现墙角的一堆直径大小不同的轮胎...
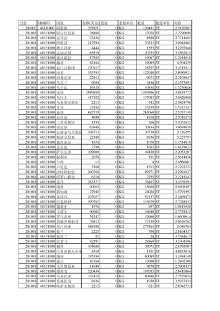
月份HS编码国家金额(美金) 重量重量单位数量数量单位均价20100140131000 阿联酋3978790 KG 136491 ST 2.915056720100140131000 阿尔...
一、世界排名首位的米其林(法国)2001年投资两亿美元,取得当时国内最大的上海轮胎橡胶公司的 70%的股权。同时在沈阳建一个合资厂,主要生...
alias汽车轮胎建模
轮胎篇之用户体验 索引 2 楼————汽车养护:五分钟搞定 轮胎检查保出行 3 楼————让爱车轮胎使用更久几种保养方式 4 楼——...
下载后可任意编辑汽车轮胎店推广方案背景汽车轮胎店是汽车行业供应链中的一个重要环节,随着汽车保有量的不断增加,汽车轮胎的销售也逐渐成...
下载后可任意编辑汽车轮胎销售合同合同编号:签订日期:甲方(销售商)公司名称:法定代表人:联系电话:地址:乙方(购买方)姓名:身份证...
下载后可任意编辑汽车轮胎更换维修定点合同甲方:乙方:为法律规范甲方机动车辆维修工作,经甲乙双方友好协商,依据《中华人民共和国合同法...
1汽车轮胎的安装、更换及常识现在有车的人越来越多,多了解一些轮胎常识对我们在日常使用中会起到很大帮助。轮胎宽度:轮胎宽度是影响整车...
国内汽车轮胎行业情况分析 ■江枫 一、2009年国内汽车轮胎行业市场情况 2009年中国汽车行业火爆,带动汽车轮胎行业发展。美国的“特保案...
国产汽车轮胎配套规格
轮胎漏气是一个常见的问题,正常情况下小于0.6cm 被钉状物轧压形成的洞,经过规范的修补对轮胎以后的使用影响不大。但根据创面的位置、大...
汽车轮胎构造与调换工作页学习目标学习任务描述某汽车因轮胎工作不良造成起步时车辆抖动,需对车轮总成进行检测,确定故障部位,并对其进行...
仅供参考 [整理 ] 第 1 页 共 9 页安全管理文书汽车轮胎安全常识日期: __________________单位: __________________仅供参考 ...
太原工业学院毕业设计(论文 ) 1 1 绪论1.1 课题背景随着汽车工业的不断发展,交通越来越便利,而随之引发的交通事故也在不断增多,其...
中国汽车轮胎市场分析(内部资料)[摘要 ]在出口形势因特保案恶化后,中国轮胎依靠国内市场的旺盛需求渡过了去年的难关,但眼下面临跨国轮...
1 / 8 汽车轮胎使用与维修要求The specification for using and maintaining motor vehicle tiresJT/T303-19961 范围本标准规...

