下载后可任意编辑【2024 新疆乌鲁木齐中考录用分数线【第二批次】】 2024 海南中考第二批录用分数线 中考网权威发布 2024 新疆乌鲁木...
1 / 3 校园保安队员录取政审表姓 名性别出生年月文化程度民族政治面貌健康状况身高体 重身份证号码工作年月联系电话是否在职教师家庭...
院校代号院校名称定向地区选测等级投档最低分辅助排序分1101 南京大学AA388 269-123-119-1141102东南大学历史A,另一门B383 283-120-132-...
江苏省2017 年普通高校招生录取办法及考试违规处理办法调查问卷及答案 为使广大考生深入了解江苏省2017 年普通高校招生考试录取办法,帮...
院校代号院校名称定向地区选测等级投档最低分1101南京大学AA3871102东南大学物理A,另一门B3841103南京航空航天大学物理A,另一门B3751104南...
2017年广州中考各批次学校录取分数
2 0 1 7 年北京市高招本科一批高校录取最低分数(理工类)发布时间:2 0 1 7 -0 7 -1 9序号院校代号 院校名称总分语文数学外语...
院校名称院校投档分院校投档分位次超分文科本专科批次中国民航大学天津市中国药科大学南京市兰州交通大学兰州市华北理工大学唐山市南昌大学...
录 用 通 知 书尊敬的 xxx 先生/小姐:我代表 xxxx 公司 xx 分公司很愉快地告知您,您已经通过了公司的笔试/面试考核,公司拟录...
1 武汉大学2015年硕士研究生招生考试复试基本分数线及相关说明 学院、中心、实验室 学科或专业(领域) 政治(管理综合) 外语 业务课...
最低分最高分平均分最低分最高分平均分1安徽工程大学535555 542525 537 5292安徽建筑大学549571 556 530 548 5363安徽科技学院54356...
院校代号院校名称选测等级 投档最低分1101南京大学AA3851102东南大学物理A,另一门B 3831103南京航空航天大学物理A,另一门B 3761104南京...
投档最低分总分(含优惠)安徽财经大学585103 122140安徽大学593121127 135安徽工业大学562103 123 114安徽理工大学555107 105123安徽农...
序号院校名称录取类别计划区域户籍生最低分数户籍生最低分数同分序号外区最低分外区最低分数同分序号借读生最低分数借读生最低分数同分序号...
排名院校名称调档线省排名线差招生计划所在省份1北京大学668 #N/A14015北京2清华大学664 8013645北京3复旦大学65815413010上海4上海交通...
计 划 数投 档 比 例投 出 数最 高 分最 低 分计 划 数A015北 京 印 刷 学 院 20A016北 京 建 筑 大 学 21002587...
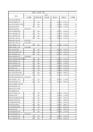
2015年北京二本高校录取最低分数线2015 年08月03日15:19来源:北京教育考试院2015 年北京市高招本科二批高校录取最低分数(文史类)序号...
2015 年全国各二本大学在广西录取分数线院校代号院校名称文史类理工类备注10012北京服装学院44010015北京印刷学院42610016北京建筑大学513...
2015 各高校在广东录取(投档)分数线 高校 提前批 一本 二本 文 理 文 理 文 理 北京大学 654 690 清华大学 668 687 中...
2 0 1 5 -2 0 1 6 年9 8 5 大学排名及录取分数线 9 8 5 工程,是指为创建世界一流大学和高水平大学而实施的工程,即“世界...

