荔湾区 2 2 个街道:金花 沙面 华林 多宝 昌华 逢源 龙津 彩虹 南源 西村 站前 岭南 桥中 冲口 花地 茶滘 白鹤洞 石围...
大方县行政区划一览表 乡镇名称 总面积 (平方公里) 海拔高度(米 ) 村(居)民委员会名称 社区居委会名称 村民组数(个 ) 社区居民...
代码代码描述拼音首字母110000北京市BJS110100北京市市辖区BJSSXQ110101北京市东城区BJSDCQ110102北京市西城区BJSXCQ110103北京市崇文区BJS...
北宋行政区划 东京 西京 南京 北京 京畿路 开封府 县:开封县、祥符县、尉氏县、陈留县、雍丘县、封丘县、中牟县、阳武县、延津县、...
省地县 乡 村城乡分类名 称所属区县所属乡镇办事处110000000000000北京市北京市110100000000000市辖区市辖区110101000000000东城区东城...
北京市行政区划代码表
北京市行政区划代码
北京市朝阳区行政区划 概况 朝阳区位于北京市主城区的东部和东北部。北纬39°48'-40°9'、东经 116°21'至 116°42'。东与通州区接壤,...
北京市各区县行政区划 1 东城区 1.1 东华门街道 1,2,校尉社区,东厂社区,智德社区,银闸社区,甘雨社区,菖蒲河社区,灯市口社区,正义路社...
下载后可任意编辑全国各省份户籍行政区划代码表1下载后可任意编辑全国各省份户籍行政区划代码表1) 北京市地区名称代码北京市北京市市辖区...
1 关 于行政区划调整后合肥区域性特大城市建设的思考 市发改委 王厚亮、朱胜利、范观兵、盛艳艳、陈鹏 行政区划调整是推动区域经济发...
河北省县级以上行政区划石家庄市长安区桥东区桥西区新华区井陉矿区裕华区辛集市藁城市晋州市新乐市鹿泉市井陉县正定县栾城县行唐县灵寿县高...
序号行政区划代码省市区县备注1100000中央本级2110000北京市3119903北京市市本级(市人才)4119904北京市市本级(北辰)5119905北京市市本...
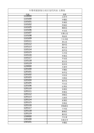
代 码名 称110000北 京 市110100市 辖 区110101东城区110102西城区110105朝阳区110106丰台区110107石景山区110108海淀区110109门头沟...
编码 省(市、自治区、直辖市)市(州、盟、地区)县(市、区、旗)110000北京市110101北京市 东城区110102北京市 西城区110105北京市 ...
行政区划代码省市区县110000北京市110101北京市东城区110102北京市西城区110105北京市朝阳区110106北京市丰台区110107北京市石景山区110108...
城关区 七里河区 西固区 安宁区 红古区 永登县 皋兰县 榆中县1嘉峪关市 市辖区 金川区 永昌县 白银区 平川区 靖远县 会宁县...
行政区划代码行政区划名称110000北京市120000天津市130100石家庄市130181辛集市130183晋州市130184新乐市130200唐山市130281遵化市130283迁...
中国省市县行政区划一览表codeprovincecitytown110000北京市110100北京市北 京市110101北京市北 京市东城区110102北京市北 京市西城区11...
dmdmms000000----------110000北 京 市110100北 京 市 市 辖 区110101北 京 市 东城区110102北 京 市 西城区110103北 京 市...

