电脑桌面
添加小米粒文库到电脑桌面
安装后可以在桌面快捷访问

数理统计作业VIP免费

数理统计作业_第1页
1/24
数理统计作业_第2页
2/24
数理统计作业_第3页
3/24
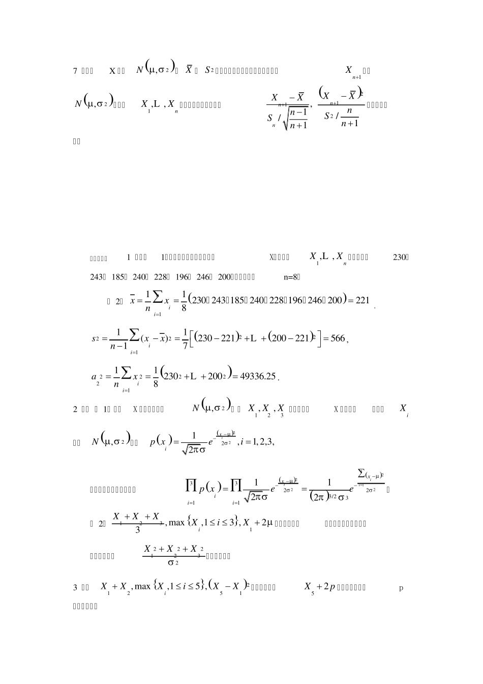
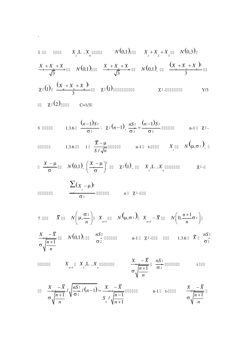
[0348]《数理统计》 第一次作业 1 [论述题] 从一批机器零件毛坯中随机抽取8 件,测得其重量(单位:kg)为:230,243, 185, 240, 228, 196, 246, 200。 ( 1)写出总体,样本,样本值,样本容量; ( 2)求样本的均值,方差及二阶原点距。 2 设总体X 服从正态分布2,N  ,其中 已知,2 未知,123,,XXX 是来自总体的简单随机样本。 ( 1)写出样本123,,XXX 的联合密度函数; ( 2)指出22212312312,max,13 ,2 ,3iXXXXXXXiX 之中哪些是统计量,哪些不是统计量。 3 设总体X 服从两点分布B( 1, p),其中p 是未知参数,15,,XXL是来自总体的简单随机样本。指出212551,max,15 ,2 ,iXXXiXpXX 之中哪些是统计量,哪些不是统计量,为什么? 4 设总体服从参数为 的指数分布,分布密度为0,00,);(xxexpx  求XDXE,和2ES . 5 设总体X 服从0,1N,样本16,,XXL来自总体X, 令22123456YXXXXXX, 求常数C,使CY 服从2 -分布。 6 设总体X 服从2,N  ,1,,nXXL是取自总体X 的简单随机样本,X 为样本均值,22,nSS 分别是样本方差和样本修正方差,问下列统计量22122,,/niniXnSXSn各服从什么分布。 7 设总体X 服从2,N  , X 和2S 为样本均值和样本修正方差,又有1nX 服从2,N  ,且与1,,nXXL相互独立,试求统计量2112, 1//11nnnXXXXnnSSnn服从什么分布。 参考答案:1 解:(1)总体为该批机器零件重量X,样本为1,,nXXL,样本值为230,243, 185, 240, 228, 196, 246, 200,样本容量为n=8; ( 2)1230 243 185 240 228 196 246112218200niixxn+++++++ , 2222111()23022120022156617niisxxn L, 22222111 23020049336.258niiaxnL. 2 解: ( 1) 因为X 服从正态分布2,N  , 而123,,XXX 是取自总体X 的样本,所以有iX服从2,N  ,即 2221,1,2,3,2ixip xei 故样本的联合密度函数为 32212233223/23111122iiixxiiip xee。 ( 2)1231,max,13 ,23iXXXXiX都是统计量,因为它们均...

1、当您付费下载文档后,您只拥有了使用权限,并不意味着购买了版权,文档只能用于自身使用,不得用于其他商业用途(如 [转卖]进行直接盈利或[编辑后售卖]进行间接盈利)。
2、本站所有内容均由合作方或网友上传,本站不对文档的完整性、权威性及其观点立场正确性做任何保证或承诺!文档内容仅供研究参考,付费前请自行鉴别。
3、如文档内容存在违规,或者侵犯商业秘密、侵犯著作权等,请点击“违规举报”。

碎片内容

数理统计作业

小辰7+ 关注
实名认证
内容提供者

出售各种资料和文档

确认删除?
VIP
微信客服
  • 扫码咨询
会员Q群
  • 会员专属群点击这里加入QQ群
客服邮箱
回到顶部