电脑桌面
添加小米粒文库到电脑桌面
安装后可以在桌面快捷访问

籍贯行政区域代码查询VIP免费

籍贯行政区域代码查询_第1页
1/34
籍贯行政区域代码查询_第2页
2/34
籍贯行政区域代码查询_第3页
3/34
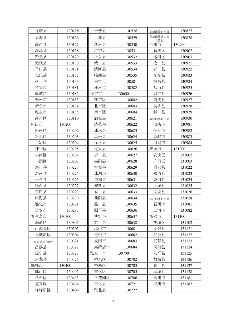
1 行政区域代码 (巴中的代码在24 页) 附表4-1 北京市行政区域代码(11) 崇文区和宣武区新的区划,为东城和西城区。 辖区 行政区域代码 辖区 行政区域代码 辖区 行政区域代码 北京市 1 1 0 0 0 0 东城区(崇文) 1 1 0 1 0 1 门头沟区 1 1 0 1 0 9 怀柔区 1 1 0 1 1 6 西城区(宣武) 1 1 0 1 0 2 房山区 1 1 0 1 1 1 平谷区 1 1 0 1 1 7 朝阳区 1 1 0 1 0 5 通州区 1 1 0 1 1 2 密云县 1 1 0 2 2 8 丰台区 1 1 0 1 0 6 顺义区 1 1 0 1 1 3 延庆县 1 1 0 2 2 9 石景山区 1 1 0 1 0 7 昌平区 1 1 0 1 1 4 海淀区 1 1 0 1 0 8 大兴区 1 1 0 1 1 5 附表4-2 天津市行政区域代码(12) 辖区 行政区域代码 辖区 行政区域代码 辖区 行政区域代码 天津市 1 2 0 0 0 0 和平区 1 2 0 1 0 1 东丽区 1 2 0 1 1 0 滨海新区 1 2 0 1 1 6 河东区 1 2 0 1 0 2 西青区 1 2 0 1 1 1 宁河县 1 2 0 2 2 1 河西区 1 2 0 1 0 3 津南区 1 2 0 1 1 2 静海县 1 2 0 2 2 3 南开区 1 2 0 1 0 4 北辰区 1 2 0 1 1 3 蓟 县 1 2 0 2 2 5 河北区 1 2 0 1 0 5 武清区 1 2 0 1 1 4 红桥区 1 2 0 1 0 6 宝坻区 1 2 0 1 1 5 附表4-3 河北省行政区域代码(13) 辖区 行政区域代码 辖区 行政区域代码 辖区 行政区域代码 河北省 1 3 0 0 0 0 石家庄市 1 3 0 1 0 0 邢台市 1 3 0 5 0 0 承德市 1 3 0 8 0 0 长安区 1 3 0 1 0 2 桥东区 1 3 0 5 0 2 双桥区 1 3 0 8 0 2 桥东区 1 3 0 1 0 3 桥西区 1 3 0 5 0 3 双滦区 1 3 0 8 0 3 桥西区 1 3 0 1 0 4 邢台县 1 3 0 5 2 1 鹰手营子矿区 1 3 0 8 0 4 新华区 1 3 0 1 0 5 临城县 1 3 0 5 2 2 承德县 1 3 0 8 2 1 井陉矿区 1 3 0 1 0 7 内丘县 1 3 0 5 2 3 兴隆县 1 3 0 8 2 2 裕华区 1 3 0 1 0 8 柏乡县 1 3 0 5 2 4 平泉县 1 3 0 8 2 3 井陉县 1 3 0 1 2 1 隆尧县 1 3 0 5 2 5 滦平县 1 3 0 8 2 4 正定县 1 3 0 1 2 3 任 县 1 3 0 5 2 6 隆化县 1 ...

1、当您付费下载文档后,您只拥有了使用权限,并不意味着购买了版权,文档只能用于自身使用,不得用于其他商业用途(如 [转卖]进行直接盈利或[编辑后售卖]进行间接盈利)。
2、本站所有内容均由合作方或网友上传,本站不对文档的完整性、权威性及其观点立场正确性做任何保证或承诺!文档内容仅供研究参考,付费前请自行鉴别。
3、如文档内容存在违规,或者侵犯商业秘密、侵犯著作权等,请点击“违规举报”。

碎片内容

籍贯行政区域代码查询

您可能关注的文档

确认删除?
VIP
微信客服
  • 扫码咨询
会员Q群
  • 会员专属群点击这里加入QQ群
客服邮箱
回到顶部