电脑桌面
添加小米粒文库到电脑桌面
安装后可以在桌面快捷访问

微积分测试题标准答案VIP免费

微积分测试题标准答案_第1页
1/6
微积分测试题标准答案_第2页
2/6
微积分测试题标准答案_第3页
3/6
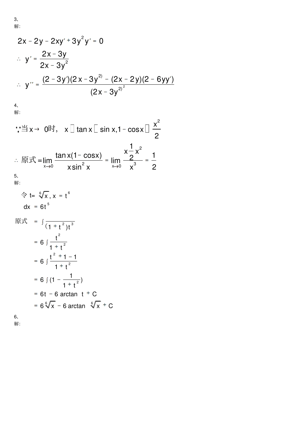
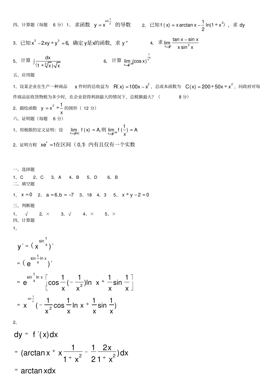
微积分测试题答案一、选择题 (每题 2 分) 1、设x 定义域为( 1,2),则lg x 的定义域为()A、(0,lg2)B、(0, lg2C、( 10,100)D、(1,2)2、x=-1 是函数x =221xxxx的()A、跳跃间断点B、可去间断点C、无穷间断点D、不是间断点3、试求024limxxx等于()A、14B、0 C、1 D、4、若1yxxy,求 y 等于()A、 22xyyxB、22yxyxC、 22yxxyD、22xyxy5、曲线221xyx的渐近线条数为()A、0 B、1 C、2 D、3 6、下列函数中,那个不是映射()A、2yx (,)xRyRB、221yxC、2yxD、lnyx(0)x二、填空题(每题2 分)1、211xy=的反函数为__________2、、2(1)) lim()1xnxf xf xnx设 (,则的间断点为__________ 3、21lim51xxbxax已知常数 a 、b,,则此函数的最大值为__________ 4、263yxkyxk已知直线是的切线,则__________ 5、ln2111xyyx求曲线,在点(,)的法线方程是 __________ 三、判断题(每题2 分)1、221xyx函数是有界函数( ) 2、 有界函数是收敛数列的充分不必要条件( ) 3、lim若,就说 是比 低阶的无穷小( )4 可导函数的极值点未必是它的驻点( ) 5、曲线上凹弧与凸弧的分界点称为拐点( ) 四、计算题(每题6 分) 1、1sinxyx求函数的导数2、21( )arctanln(12fxxxxdy已知),求3、2326xxyyyxy已知,确定 是 的函数,求4、20tansinlimsinxxxxx求5、31)dxxx计算(6、210lim (cos )xxx计算五、应用题1、设某企业在生产一种商品x 件时的总收益为2)100R xxx(,总成本函数为2( )20050C xxx ,问政府对每件商品征收货物税为多少时,在企业获得利润最大的情况下,总税额最大?(8 分)2、描绘函数21yxx的图形( 12 分)六、证明题(每题6 分)1、用极限的定义证明:设01lim( ),lim()xxf xAfAx则2、证明方程10,1xxe在区间()内有且仅有一个实数一、选择题1、C 2、C 3、A 4、B 5、D 6、 B 二、填空题1、0x2、6,7ab3、18 4、3 5、20xy三、判断题1、√2、×3、√4、×5、×四、计算题1、1sin1sin1sinln1sinln22))1111cos()lnsin1111(coslnsin)xxxxxxyxeexxxxxxxxxxx((2、22( )112(arctan)12 1arctandyfx dxxxxdxxxxdx3、解:2222)2)222302323(23)(23(22 )(26)(23xyxyy yxyyxyyxyxyyyyxy4、解:2223000tansin ,1cos21tan (1cos )12limlimsin2xxxxxxxxxxxxxxx当时,原式 =5、解:665232222266,61)61116116(1)166 arctan66 arctanx xtdxttttttttttCxxC令 t=原式(6、解:220...

1、当您付费下载文档后,您只拥有了使用权限,并不意味着购买了版权,文档只能用于自身使用,不得用于其他商业用途(如 [转卖]进行直接盈利或[编辑后售卖]进行间接盈利)。
2、本站所有内容均由合作方或网友上传,本站不对文档的完整性、权威性及其观点立场正确性做任何保证或承诺!文档内容仅供研究参考,付费前请自行鉴别。
3、如文档内容存在违规,或者侵犯商业秘密、侵犯著作权等,请点击“违规举报”。

碎片内容

微积分测试题标准答案

确认删除?
VIP
微信客服
  • 扫码咨询
会员Q群
  • 会员专属群点击这里加入QQ群
客服邮箱
回到顶部