电脑桌面
添加小米粒文库到电脑桌面
安装后可以在桌面快捷访问

山东省高三数学一模试卷精选精练(教师版):数列 山东省高三数学一模试卷精选精练(教师版) 山东省高三数学一模试卷精选精练(教师版)VIP免费

山东省高三数学一模试卷精选精练(教师版):数列 山东省高三数学一模试卷精选精练(教师版) 山东省高三数学一模试卷精选精练(教师版)_第1页
1/10
山东省高三数学一模试卷精选精练(教师版):数列 山东省高三数学一模试卷精选精练(教师版) 山东省高三数学一模试卷精选精练(教师版)_第2页
2/10
山东省高三数学一模试卷精选精练(教师版):数列 山东省高三数学一模试卷精选精练(教师版) 山东省高三数学一模试卷精选精练(教师版)_第3页
3/10
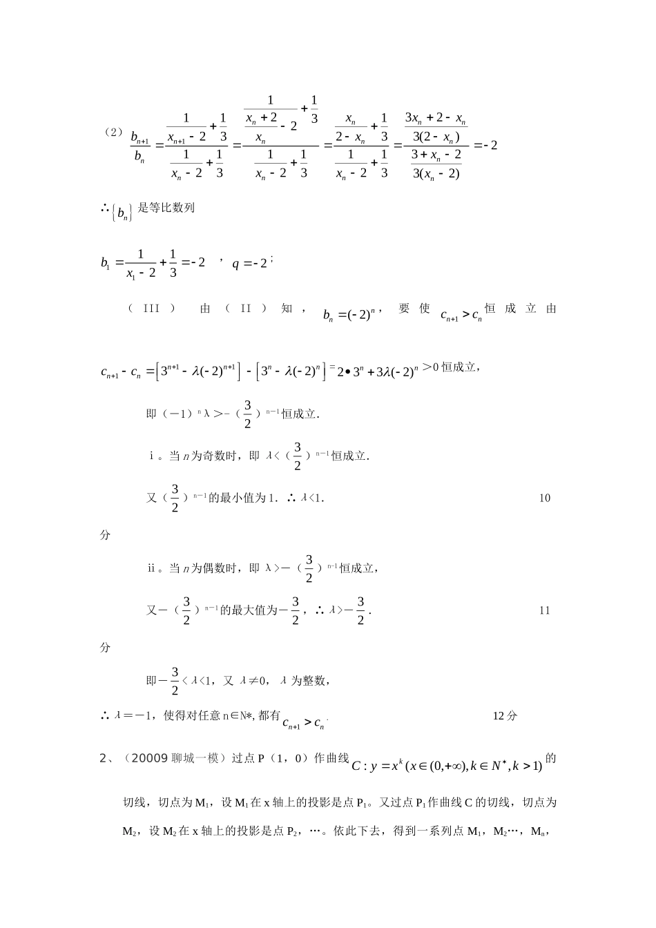
【09 高考冲刺金卷系列】山东省 2009 届高三数学一模试题精选精练(教师版)——数列一、选择题1、(20009 滨州一模)等差数列na中,51130aa,47a  ,则12a 的值为A.15 B.23 C.25 D.37B2、(20009 聊城一模)两个正数 a、b 的等差中项是 5,等比例中项是 4,若 a>b,则双曲线122 byax的离心率 e 等于( )A.23 B.25 C.5017 D.3B3、(20009 临沂一模)在等差数列{an}中,若 a2+a4+a6+a8+a10=80,则7812aa的值为A、4 B、6 C、8 D、10C4 、 ( 20009 青 岛 一 模 ) 已 知 等 差 数 列  na的 公 差 为0d d , 且36101332aaaa,若8ma  ,则m 为A.12 B. 8 C.6 D. 4B5、(20009 日照一模)设nS 是等差数列{}na的前n 项和,若53aa =59 ,则95SS 等于 A 1 B.-1 C.2 D.12A二、解答题1 、 ( 20009 滨 州 一 模 ) 已 知 曲 线:1,C xy 过 C 上 一 点(,)nnnA xy作 一 斜 率 为12nnkx的直线交曲线 C 于另一点111(,)nnnAxy,点列nA的横坐标构成数列nx,其中1117x .(I)求nx 与1nx 的关系式;(II)令nb 1123nx,求证:数列 nb是等比数列;(III)若3nnncb(λ 为非零整数,n∈N*),试确定 λ 的值,使得对任意 n∈N*,都有 cn+1>cn成立。(1) 解:过(,)nnnA xy的直线方程为1()2nnnyyxxx联立方程1()21nnnyyxxxxy 消去 y 得21()1022nnnnxxyxx ∴12nnnx xx 即12nnnxxx(2)11112321113223233(2)2111111322323233(2)nnnnnnnnnnnnnnnxxxxbxxxxxbxxxx∴ nb是等比数列1111223bx ,2q ;( III )由 ( II ) 知 ,( 2)nnb  , 要 使1nncc 恒 成 立 由1113( 2)nnnncc3( 2)nn=2 33 ( 2)nn>0 恒成立,即(-1)nλ>-( 23 )n-1恒成立.ⅰ。当 n 为奇数时,即 λ<( 23 )n-1恒成立.又( 23 )n-1的最小值为 1.∴λ<1.10分ⅱ。当 n 为偶数时,即 λ>-( 23 )n-1恒成立,又-( 23 )n-1的最大值为- 23 ,∴λ>- 23 .11分即- 23 <λ<1,又 λ≠0,λ 为整数,∴λ=-1,使得对任意 n...

1、当您付费下载文档后,您只拥有了使用权限,并不意味着购买了版权,文档只能用于自身使用,不得用于其他商业用途(如 [转卖]进行直接盈利或[编辑后售卖]进行间接盈利)。
2、本站所有内容均由合作方或网友上传,本站不对文档的完整性、权威性及其观点立场正确性做任何保证或承诺!文档内容仅供研究参考,付费前请自行鉴别。
3、如文档内容存在违规,或者侵犯商业秘密、侵犯著作权等,请点击“违规举报”。

碎片内容

山东省高三数学一模试卷精选精练(教师版):数列 山东省高三数学一模试卷精选精练(教师版) 山东省高三数学一模试卷精选精练(教师版)

您可能关注的文档

确认删除?
VIP
微信客服
  • 扫码咨询
会员Q群
  • 会员专属群点击这里加入QQ群
客服邮箱
回到顶部