电脑桌面
添加小米粒文库到电脑桌面
安装后可以在桌面快捷访问

常州市第二十六届青少年科技创新大赛获奖结果VIP专享VIP免费

常州市第二十六届青少年科技创新大赛获奖结果_第1页
1/7
常州市第二十六届青少年科技创新大赛获奖结果_第2页
2/7
常州市第二十六届青少年科技创新大赛获奖结果_第3页
3/7
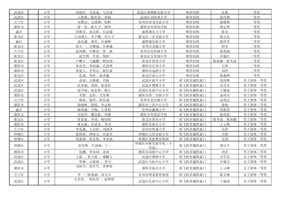
辖市区编号组别学生姓名所在学校参赛项目辅导老师奖项天宁区1小学张艾嘉、孟立、陈熙伦、刘馨泽、蒋颉、郭雨萱、朱亦婷常州市解小教育集团OM表演1杨继云、郑政一等奖新北区2小学张若孟、潘晶、王宇熠、孙涛何诗涵、王卫航、王申新北区国英小学OM表演1周洁、严华一等奖钟楼区3小学是云畅、谢钰茹 等钟楼区觅渡教育集团OM表演1羊旦、周春花一等奖武进区4小学陆宽、俞越、卜梓阳、张凯铭柳滟丹、陈佳琪、臧奕、史馨月武进区星韵学校OM表演1周蕾二等奖武进区5小学罗子盛、张心怡、周洲、黄沁璐、周骐成、史樱楠、吴昱武进区戴溪小学OM表演1张乾 徐玲 时珍二等奖武进区6小学范佳惠等四人武进区卢家巷实验学校OM表演1张燕飞、王佳君二等奖武进区7小学颜涛、刘雨、侯早早、胡沁怡、林望 、魏 浩 然武进区东 青 实验学校OM表演1徐丽 丹二等奖钟楼区8小学杨超 、吴振 伟 、马 镛 昊 、王昇 昊 、解静 谊钟楼区勤 业 小学OM表演1江 平二等奖天宁区9小学蒋一歌常州市局 前 街 小学教育集团电 脑 制 作何静一等奖武进区10小学戴家乐武进区星辰 实验学校电 脑 制 作费 玉 军一等奖钟楼区11小学陶 泽辉钟楼区实验小学教育集团电 脑 制 作钱 征一等奖武进区12小学石 蕊武进区湖 塘 桥 中 心小学电 脑 制 作季 军一等奖新北区13小学王昕 格新北区龙 城 小学电 脑 制 作杨康一等奖天宁区14小学徐阳常州市青 龙 实验小学电 脑 制 作程 青二等奖新北区15小学林亦琪新北区百 草 园 小学电 脑 制 作张静二等奖钟楼区16小学邵 泓 凯钟楼区觅渡教育集团电 脑 制 作蒋新宇二等奖新北区17小学胡家畯新北区国英小学电 脑 制 作乔 路 、王益 峰二等奖戚 区18小学邱 毅常州市潞 城 小学电 脑 制 作朱晓 琳二等奖溧 阳市19小学杨仕 杰溧 阳市汤 桥 小学电 脑 制 作刘萍二等奖钟楼区20小学李 夏 、张浩 、殷 鸣 瑞钟楼区勤 业 小学九 连 环许 文 峰一等奖武进区21小学陆晨 骏 、岳 洋 、王朕武进区卢家巷实验学校九 连 环贡 玉 宝一等奖武进区22小学袁 才 华、王琦 、郭鑫 晨武进区前 黄中 心小学九 连 环朱惠敏 、卞 丽 霞一等奖天宁区23小学曹 思 远 、林志 威 、刘青 璞常州市虹 景 小学九 连 环钱 亚 芳一等奖钟楼区24小学程 进陈、陈淇 婷、杨梦 珂钟楼区花园 小学九 连 环唐 丽 君、沈 伟 琴一等奖武进区25小学黄周澔 ...

1、当您付费下载文档后,您只拥有了使用权限,并不意味着购买了版权,文档只能用于自身使用,不得用于其他商业用途(如 [转卖]进行直接盈利或[编辑后售卖]进行间接盈利)。
2、本站所有内容均由合作方或网友上传,本站不对文档的完整性、权威性及其观点立场正确性做任何保证或承诺!文档内容仅供研究参考,付费前请自行鉴别。
3、如文档内容存在违规,或者侵犯商业秘密、侵犯著作权等,请点击“违规举报”。

碎片内容

常州市第二十六届青少年科技创新大赛获奖结果

确认删除?
VIP
微信客服
  • 扫码咨询
会员Q群
  • 会员专属群点击这里加入QQ群
客服邮箱
回到顶部