电脑桌面
添加小米粒文库到电脑桌面
安装后可以在桌面快捷访问

数学所有不等式放缩技巧及证明方法VIP免费

数学所有不等式放缩技巧及证明方法_第1页
1/7
数学所有不等式放缩技巧及证明方法_第2页
2/7
数学所有不等式放缩技巧及证明方法_第3页
3/7
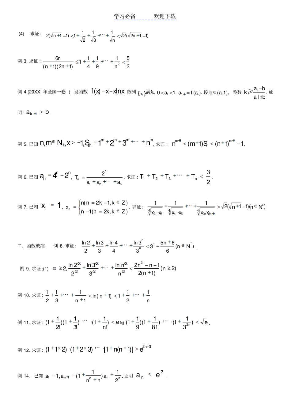
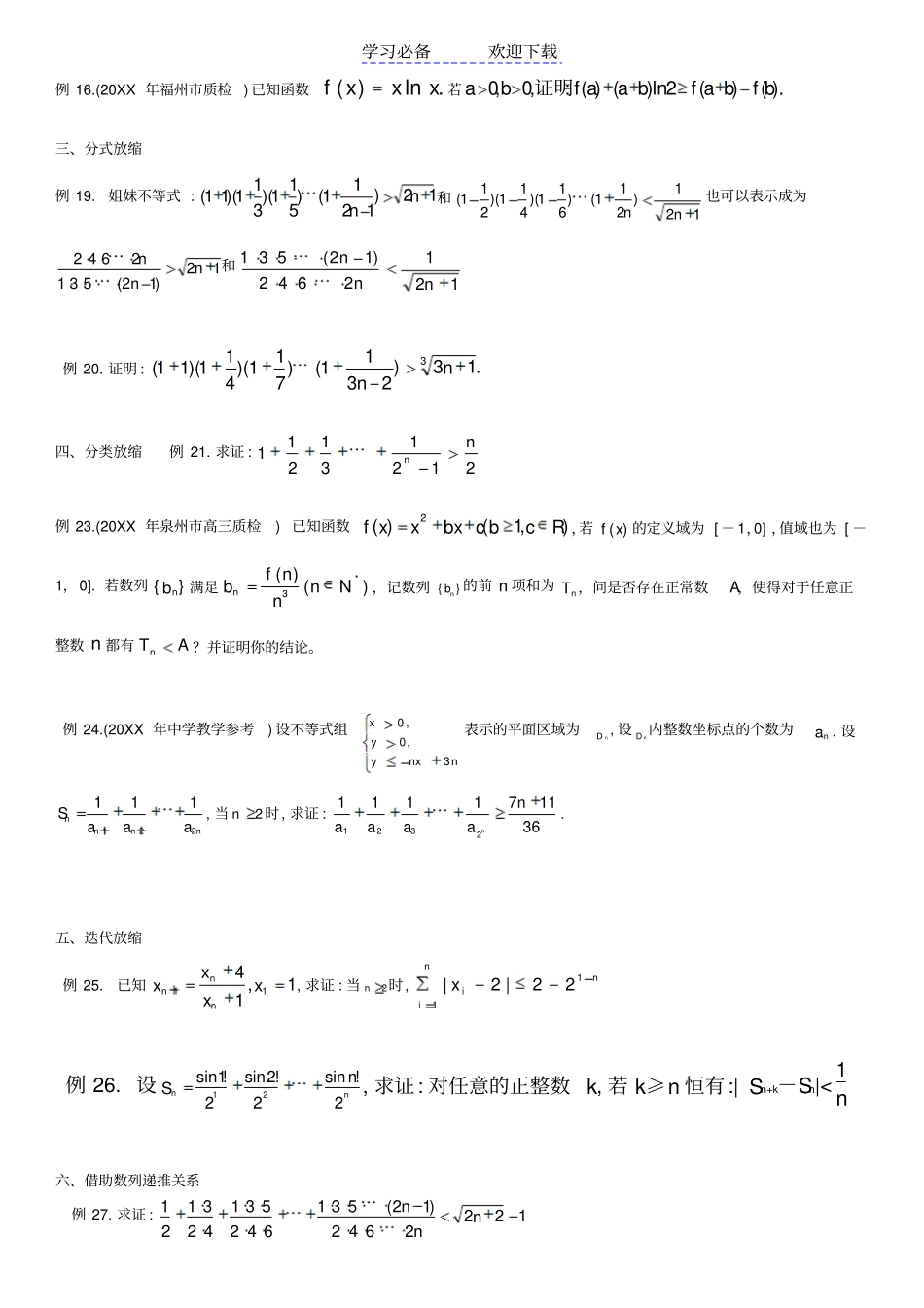
学习必备欢迎下载高考数学所有不等式放缩技巧及证明方法一、 裂项放缩例 1.(1) 求nkk12142的值 ; (2)求证 :35112nkk. 例 2.(1)求证 :)2()12(2167)12(151311222nnn (2) 求证 :nn412141361161412 (3) 求证 :1122642)12(531642531423121nnn学习必备欢迎下载 (4) 求证:)112(2131211)11(2nnn例 3. 求证 :35191411)12)(1(62nnnn例 4.(20XX 年全国一卷 ) 设函数( )lnf xx x x. 数列na满足101a.1( )nnaf a . 设1(1)ba,,整数11lnabkab≥. 证明:1kab . 例 5. 已知mmmmmnSxNmn321,1,,, 求证 : 1)1()1(11mnmnSmn. 例 6. 已知nnna24,nnnaaaT212, 求证 :23321nTTTT. 例 7. 已知11x,),2(1),12(ZkknnZkknnxn, 求证 :*))(11(21114122454432Nnnxxxxxxnn二、函数放缩例 8. 求证:)(665333ln44ln33ln22ln*Nnnnnn. 例 9. 求证 :(1))2()1(212ln33ln22ln,22nnnnnn例 10. 求证 :nnn1211)1ln(113121例 11. 求证 :en)!11()!311)(!211(和en )311()8111)(911(2. 例 12. 求证 :32)]1(1[)321()211(nenn例 14. 已知112111,(1).2nnnaaann证明2nae. 学习必备欢迎下载例 16.(20XX 年福州市质检 ) 已知函数.ln)(xxxf若).()(2ln)()(:,0,0bfbafbaafba证明三、分式放缩例 19. 姐妹不等式 :12)1211()511)(311)(11(nn和121)211()611)(411)(211(nn也可以表示成为12)12(5312642nnn和1212642)12(531nnn例 20. 证明 :.13)2311()711)(411)(11(3nn四、分类放缩例 21. 求证 :212131211nn例 23.(20XX 年泉州市高三质检) 已知函数),1()(2Rcbcbxxxf,若)(xf的定义域为 [ -1,0] ,值域也为 [ -1,0]. 若数列}{nb满足)()(*3Nnnnfbn,记数列}{nb的前 n 项和为nT ,问是否存在正常数A,使得对于任意正整数 n 都有ATn?并证明你的结论。例 24.(20XX 年中学教学参考) 设不等式组nnxyyx3,0,0表示的平面区域为nD , 设nD 内整数坐标点的个数为na . 设nnnnaaaS221111, 当2n时, 求证 :3611711112321naaaan. 五、迭代放缩例 25. 已知1,1411xxxxnnn, 求证 : 当2n时,nniix1122|2|例 26. 设nnnS2!sin2!2sin2!1sin21, 求证: 对任意的正整数 k, 若 k≥n 恒有:| Sn+k-Sn|< 1n六、借助数列递推关系例 27. 求证 :1222642)12(531642531423121nnn学习必备欢迎下载例 28. 求证 :1122642)12(531642531423121nnn例 29. 若1,111naaann, 求证 :)11(211121naaan七、分类讨论例 3...

1、当您付费下载文档后,您只拥有了使用权限,并不意味着购买了版权,文档只能用于自身使用,不得用于其他商业用途(如 [转卖]进行直接盈利或[编辑后售卖]进行间接盈利)。
2、本站所有内容均由合作方或网友上传,本站不对文档的完整性、权威性及其观点立场正确性做任何保证或承诺!文档内容仅供研究参考,付费前请自行鉴别。
3、如文档内容存在违规,或者侵犯商业秘密、侵犯著作权等,请点击“违规举报”。

碎片内容

数学所有不等式放缩技巧及证明方法

文库当当响+ 关注
实名认证
内容提供者

该用户很懒,什么也没介绍

相关文档

确认删除?
VIP
微信客服
  • 扫码咨询
会员Q群
  • 会员专属群点击这里加入QQ群
客服邮箱
回到顶部