电脑桌面
添加小米粒文库到电脑桌面
安装后可以在桌面快捷访问

漆包线规格速查表VIP免费

漆包线规格速查表_第1页
1/8
漆包线规格速查表_第2页
2/8
漆包线规格速查表_第3页
3/8
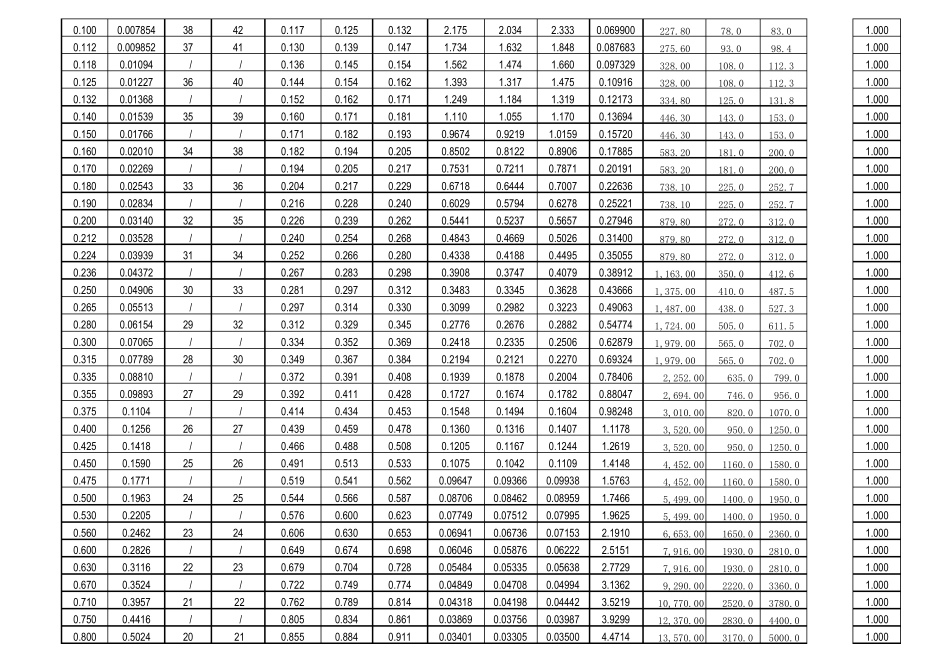
建议:使用表前请参阅说明。[1] 速查区标称直径m mAWGSWG1级 2级 3级导线长度米 - m100.00[2] 在表中没有列出的线径的参考数据线径0.21[3] 在常温无风空间,漆包线表面的允许温升对应的最大电流(不考虑趋肤效应):1525354555657585951052.303.454.435.316.136.927.68 8.419.129.825.868.79 11.2913.5215.6217.63 19.56 21.4223.2425.010.370.560.720.860.991.121.241.361.481.5910.7516.1420.7224.8128.66 32.3535.90 39.3042.6445.900.0180.1000.2000.5001.0002.0005.0000.0200.1120.2120.5301.0602.1205.6000.0220.1180.2240.5601.1202.2406.3000.0250.1250.2360.6001.1802.3607.1000.0280.1320.2500.6301.2502.5008.0000.0320.1400.2650.6701.3202.8009.0000.0360.1500.2800.7101.4003.15010.0000.0400.1600.3000.7501.5003.55011.2000.0450.1700.3150.8001.6004.0000.0500.1800.3350.8501.7004.5000.0560.1900.3550.9001.8000.0630.3750.9501.9000.0710.4000.0800.4250.0900.450作成:0.475时间:电流密度J : A/mm2电流 Amax电流 Amax参考重量导线表面温升 Δ t/℃0.505221197千米重量-kg/km截面面積-mm22 .1 7 6 5 82 .1 1 6 0 0电 磁 软 铜 圆 漆 包 线 参 数 速 查 表电流密度J: A/mm2直径表中是否列出0.0346185导线载流电流 A=1 .1 7 7 5 0 0 02.0A/mm2kg6.0A/mm21 .9 6 2 5 0 0 04。如果要查的线径不在列表内,则将其简要的数据列出在[2]和[3]的表内以供参考。最大值7800.000 .6 9 8 6 5 0 0电磁软铜圆线直径表--红色数字无对应的AWG/SWG线号[1]速查区[2]参考区5.0A/mm2每米电阻Ro/Ω*m-10 .7 8 5 0 0 0 00.30810465电阻 Ro:Ω /(20℃)标称值3.0A/mm2千米重量kg/km6.986501 .0 9 41 .1 2 4标称值每米的电阻 Ro/Ω *m-1最大外径 Φ max/mm最小值最大值0.0224007.0A/mm22 .9 4 3 7 52 .7 4 7 5 0 0 02 .3 5 5 0 0 0 0安全卷线張力最大卷线張力7.5A/m2max(g)电流会使导线发热,表[3]所列是导线在无风空间中,表面限定不同温升时计算的对应电流;供设计时参考。1 .5 7 0 0 0 0 0(g)表格使用说明:2。本表所列各项数据尽量参考标准数据,但不是标准,仅供工程设计或速算时参考。在速查区黄色框内写入要查找的线的线径_mm;导线长度框内写入线的长度;在速查区将自动列关的各项参数或数据。1。3。4630.002 .2 4 0 0 ...

1、当您付费下载文档后,您只拥有了使用权限,并不意味着购买了版权,文档只能用于自身使用,不得用于其他商业用途(如 [转卖]进行直接盈利或[编辑后售卖]进行间接盈利)。
2、本站所有内容均由合作方或网友上传,本站不对文档的完整性、权威性及其观点立场正确性做任何保证或承诺!文档内容仅供研究参考,付费前请自行鉴别。
3、如文档内容存在违规,或者侵犯商业秘密、侵犯著作权等,请点击“违规举报”。

碎片内容

漆包线规格速查表

确认删除?
VIP
微信客服
  • 扫码咨询
会员Q群
  • 会员专属群点击这里加入QQ群
客服邮箱
回到顶部