电脑桌面
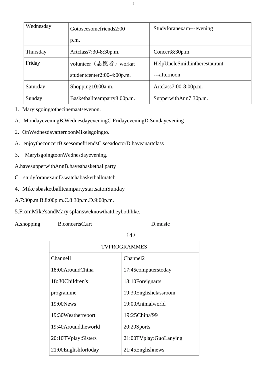
添加小米粒文库到电脑桌面
安装后可以在桌面快捷访问

初二上册阅读理解VIP免费

初二上册阅读理解_第1页
1/12
初二上册阅读理解_第2页
2/12
初二上册阅读理解_第3页
3/12
1初二上册阅读理解(1)Brunowasaboyofeight.Hisfatherworkedinacinemaandhismotherworkedinashop.Helivednotfarfromhisschool.Healwayswalkedthereandwalkedhome.Onhiswaytoschool,hehadtopassaplayground.Itwasverywetafteritrained.Oneday,whenhegothome,hisclotheswereallwet.Hismotherbecameangry(生气的)andsaid,“Don'tplayinthewateronyourwayhomefromschool!”OnthenextdayBrunocamehomewithwetanddirty(脏的)clothes.Hismotherbecameevenangrier.“I'lltellyourfatherifyoucomebackwetagain,”saidhismother.“He'llpunish(惩罚)You,youknow.”Thethirddaythelittleboywasdrywhenhecamehome.“You'reagoodboytoday”,hismothersaidhappily.“Youdidn'tplayinthewater.”“No,”theboysaidunhappily.“ThereweretoomanyolderboysinthewaterwhenIgottherethisafternoon.Therewasn'tanyroom(空地方)formeatall!”1. Brunowenttoschooleveryday.A. bybikeB.bybusC.bycarD.onfoot2. Theplaygroundwasbetween(在之间).A. twoclassroomsB.thecinemaandshopC.Bruno'shouseandschoolD.theshopandBruno'sschool3. Thelittleboylikedtoplayontheplayground.A.whenitsnowedB.whentherewassomewaterthereC.whenthechildrenplayedfootballthereD.whenhisfatherwasbusywithhiswork4. Brunowasafraidofthemost.A.hisfatherB.hismotherC.histeacherD.theolderboys5. Thatafternoon,theboy'sclothesweredrybecause.A.nobodymaderoom(地方)forhiminthewaterB.therewasnowaterontheplaygroundC.hetookoffhisclothesbeforeheplayedthereD.heplayedinthewatercarefully(2)KongRongwasafamouswriterduringtheHanDynasty(汉朝).Hewasconsideratewhenhewasonlyfour.2Konghadfiveelderbrothersandayoungbrother.Oneday,theirfatherboughtlotsofpears.Someofthepearswerebigandlookedgood.Someweresmallanddidn'tlooksogood.Theboyswerehappyandbegantochoose(选择)some.Kongchosethesmallestone.Kong'sfatherfoundthisstrangeandasked,“Whynotchooseabiggerone,myson?”Konganswered,“Iamyounger.Myelderbrothersareolderandeatmore.Theyshouldtakethebiggerones.”“Butyouhaveayoungbrother.Heshouldtakethesmallestone!”“Heisyoungerandneedsmorenutrition(营养).Heshouldgetabiggerone,too.”Kong'sfatherwasveryhappythatKongc...

1、当您付费下载文档后,您只拥有了使用权限,并不意味着购买了版权,文档只能用于自身使用,不得用于其他商业用途(如 [转卖]进行直接盈利或[编辑后售卖]进行间接盈利)。
2、本站所有内容均由合作方或网友上传,本站不对文档的完整性、权威性及其观点立场正确性做任何保证或承诺!文档内容仅供研究参考,付费前请自行鉴别。
3、如文档内容存在违规,或者侵犯商业秘密、侵犯著作权等,请点击“违规举报”。

碎片内容

初二上册阅读理解

wxg+ 关注
实名认证
内容提供者

该用户很懒,什么也没介绍

相关文档

确认删除?
VIP
微信客服
  • 扫码咨询
会员Q群
  • 会员专属群点击这里加入QQ群
客服邮箱
回到顶部