电脑桌面
添加小米粒文库到电脑桌面
安装后可以在桌面快捷访问

进销存月报表VIP免费

进销存月报表_第1页
1/6
进销存月报表_第2页
2/6
进销存月报表_第3页
3/6
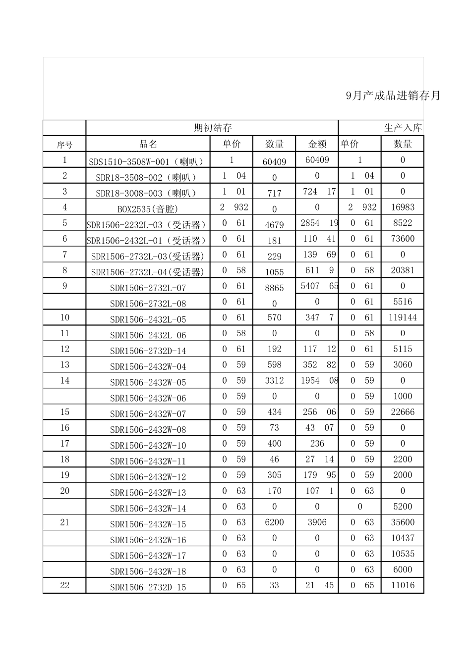
序号品名单价数量金额单价 数量1SDS1510-3508W-001(喇叭)16040960409102SDR18-3508-002(喇叭)1.04001.0403SDR18-3008-003(喇叭)1.01717724.171.0104BOX2535(音腔)2.932002.932169835SDR1506-2232L-03(受话器)0.6146792854.190.6185226SDR1506-2432L-01(受话器)0.61181110.410.61736007SDR1506-2732L-03(受话器)0.61229139.690.6108SDR1506-2732L-04(受话器)0.581055611.90.58203819SDR1506-2732L-070.6188655407.650.610SDR1506-2732L-080.61000.61551610SDR1506-2432L-050.61570347.70.6111914411SDR1506-2432L-060.58000.58012SDR1506-2732D-140.61192117.120.61511513SDR1506-2432W-040.59598352.820.59306014SDR1506-2432W-050.5933121954.080.590SDR1506-2432W-060.59000.59100015SDR1506-2432W-070.59434256.060.592266616SDR1506-2432W-080.597343.070.59017SDR1506-2432W-100.594002360.59018SDR1506-2432W-110.594627.140.59220019SDR1506-2432W-120.59305179.950.59200020SDR1506-2432W-130.63170107.10.630SDR1506-2432W-140.63000520021SDR1506-2432W-150.63620039060.6335600SDR1506-2432W-160.63000.6310437SDR1506-2432W-170.63000.6310535SDR1506-2432W-180.63000.63600022SDR1506-2732D-150.653321.450.65110169月产成品进销存月期初结存生产入库23SDR1206-2432W-040.59494291.460.59024SDR1206-2432W-050.5952013068.590.59025SDR1206-2432W-060.592011.80.59026SDR1206-2432W-080.59000.59027SDR1107-2532L-010.618551.850.61028SDR1107-2432W-010.611243758.230.61029SDR1107-2432W-030.6000.6030SDR1107-2432W-040.61370225.70.61031SDR1107-2432W-050.6114286.620.61795732SDR1107-2732W-010.66954170.6033SDR1206-2432T-010.6191375573.57 0.613324034SDR1206-2732T-020.611479902.190.61035SDR1206-2432T-030.613118.910.61036SDR1206-2432T-040.58000.5854600总计10736504547721SDR1506-2432W0.27529171 8022.025 0.27502SDR1506-2732W0.275299938248.075 0.27503SDR1206-2432W0.275700192.50.27504SDR1107-2432W0.275000.27505SDR1107-2732W0.27512133.275 0.27506SDS18-3008W(喇叭)0.65000.6507SDS18-3508W(喇叭)0.66000.6608SDS18-3508W(未做成)0.66500033000.6609SDS20-3068W(未做成)0.86525002162.50.865010SDS30-4808W(未做成)1.25400050001.25011SDS18-3008W(未做成)0.65873567.450.6...

1、当您付费下载文档后,您只拥有了使用权限,并不意味着购买了版权,文档只能用于自身使用,不得用于其他商业用途(如 [转卖]进行直接盈利或[编辑后售卖]进行间接盈利)。
2、本站所有内容均由合作方或网友上传,本站不对文档的完整性、权威性及其观点立场正确性做任何保证或承诺!文档内容仅供研究参考,付费前请自行鉴别。
3、如文档内容存在违规,或者侵犯商业秘密、侵犯著作权等,请点击“违规举报”。

碎片内容

进销存月报表

您可能关注的文档

确认删除?
VIP
微信客服
  • 扫码咨询
会员Q群
  • 会员专属群点击这里加入QQ群
客服邮箱
回到顶部