电脑桌面
添加小米粒文库到电脑桌面
安装后可以在桌面快捷访问

有机化学习题与答案厦门大学汇总VIP免费

有机化学习题与答案厦门大学汇总_第1页
1/50
有机化学习题与答案厦门大学汇总_第2页
2/50
有机化学习题与答案厦门大学汇总_第3页
3/50
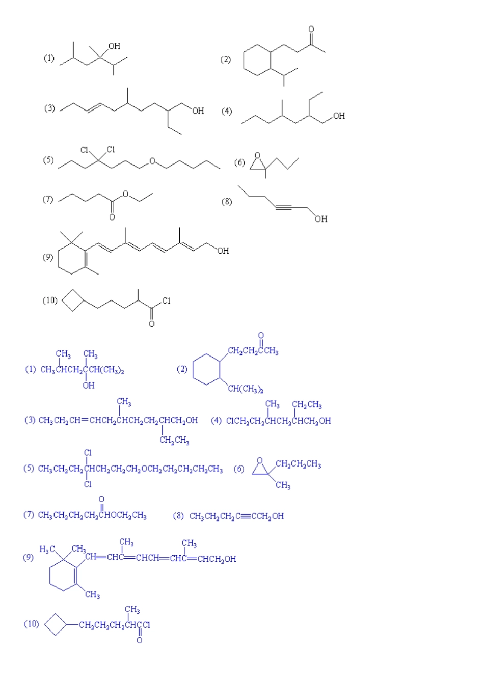
有机化学习题与答案(厦门大学)第一章绪论习题一、根据下列电负性数据:判断下列键中哪个极性最强?为什么?答案 < 请点击 >二、 (a) F2、HF、BrCl 、 CH4、CHCl3、CH3OH诸分子中哪些具有极性键?(b) 哪些是极性分子?答案 < 请点击 >三、下列各化合物有无偶极矩?指出其方向。答案 < 请点击 >四、根据 O和 S 的电负性差别, H2O和 H2S 相比,哪个的偶极-偶极吸引力较强,哪个的氢键较强?答案 <请点击 >五、写出下列化合物的路易斯电子式。答案 < 请点击 >六、把下列化合物由键线式改写成结构简式。七、下面记录了化合物的元素定量分析和相对分子质量测定的结果,请计算它们的化学式。(1) C :65.35%,H: 5.60%,相对分子质量 110 (2) C :70.40%,H: 4.21%,相对分子质量 188 (3) C :62.60%,H: 11.30%,N:12.17 %,相对分子质量 230 (4) C :54.96%,H: 9.93%, N:10.68 %,相对分子质量 131 (5) C :56.05%,H: 3.89%, Cl :27.44 %,相对分子质量 128.5 (6) C :45.06%,H: 8.47%, N:13.16 %, Cl :33.35 %,相对分子质量 106.5答案 < 请点击 > 八、写出下列化学式的所有的构造异构式。答案 < 请点击 > 第一章绪论习题 (1) 1、什么是烃、饱和烃和不饱和烃?点击这里看结果2、什么是烷基?写出常见的烷基及相应的名称。点击这里看结果3、给下列直链烷烃用系统命名法命名点击这里看结果4、什么是伯、仲、叔、季碳原子,什么是伯、仲、叔氢原子?点击这里看结果5、写出己烷的所有异构体,并用系统命名法命名。点击这里看结果6、写出符合下列条件的烷烃构造式,并用系统命名法命名:1. 只含有伯氢原子的戊烷2. 含有一个叔氢原子的戊烷3. 只含有伯氢和仲氢原子的已烷4. 含有一个叔碳原子的已烷5. 含有一个季碳原子的已烷6. 只含有一种一氯取代的戊烷7. 只有三种一氯取代的戊烷8. 有四种一氯取代的戊烷9. 只有二种二氯取代的戊烷点击这里看结果7、写出 2- 甲基丁烷和2,2,4- 三甲基戊烷的可能一氯取代物的结构式,并用系统命名法命名。点击这里看结果8、写出分子中仅含一个季碳原子、一个叔碳原子和一个仲碳原子及多个伯碳原子的最简单的烷烃的可能异构体。 点击这里看结果9、用折线简式表示下列化合物的构造:1.丙烷2. 丁烷2.异丙烷4. 2,2-二甲基丙烷5. 2,3-二甲基丁烷6. 3- 乙基戊烷7. 3- 甲基 -1- 氯丁烷8. 3,4,5-三甲基...

1、当您付费下载文档后,您只拥有了使用权限,并不意味着购买了版权,文档只能用于自身使用,不得用于其他商业用途(如 [转卖]进行直接盈利或[编辑后售卖]进行间接盈利)。
2、本站所有内容均由合作方或网友上传,本站不对文档的完整性、权威性及其观点立场正确性做任何保证或承诺!文档内容仅供研究参考,付费前请自行鉴别。
3、如文档内容存在违规,或者侵犯商业秘密、侵犯著作权等,请点击“违规举报”。

碎片内容

有机化学习题与答案厦门大学汇总

您可能关注的文档

确认删除?
VIP
微信客服
  • 扫码咨询
会员Q群
  • 会员专属群点击这里加入QQ群
客服邮箱
回到顶部