电脑桌面
添加小米粒文库到电脑桌面
安装后可以在桌面快捷访问

有理数的混合运算练习题50题VIP免费

有理数的混合运算练习题50题_第1页
1/6
有理数的混合运算练习题50题_第2页
2/6
有理数的混合运算练习题50题_第3页
3/6
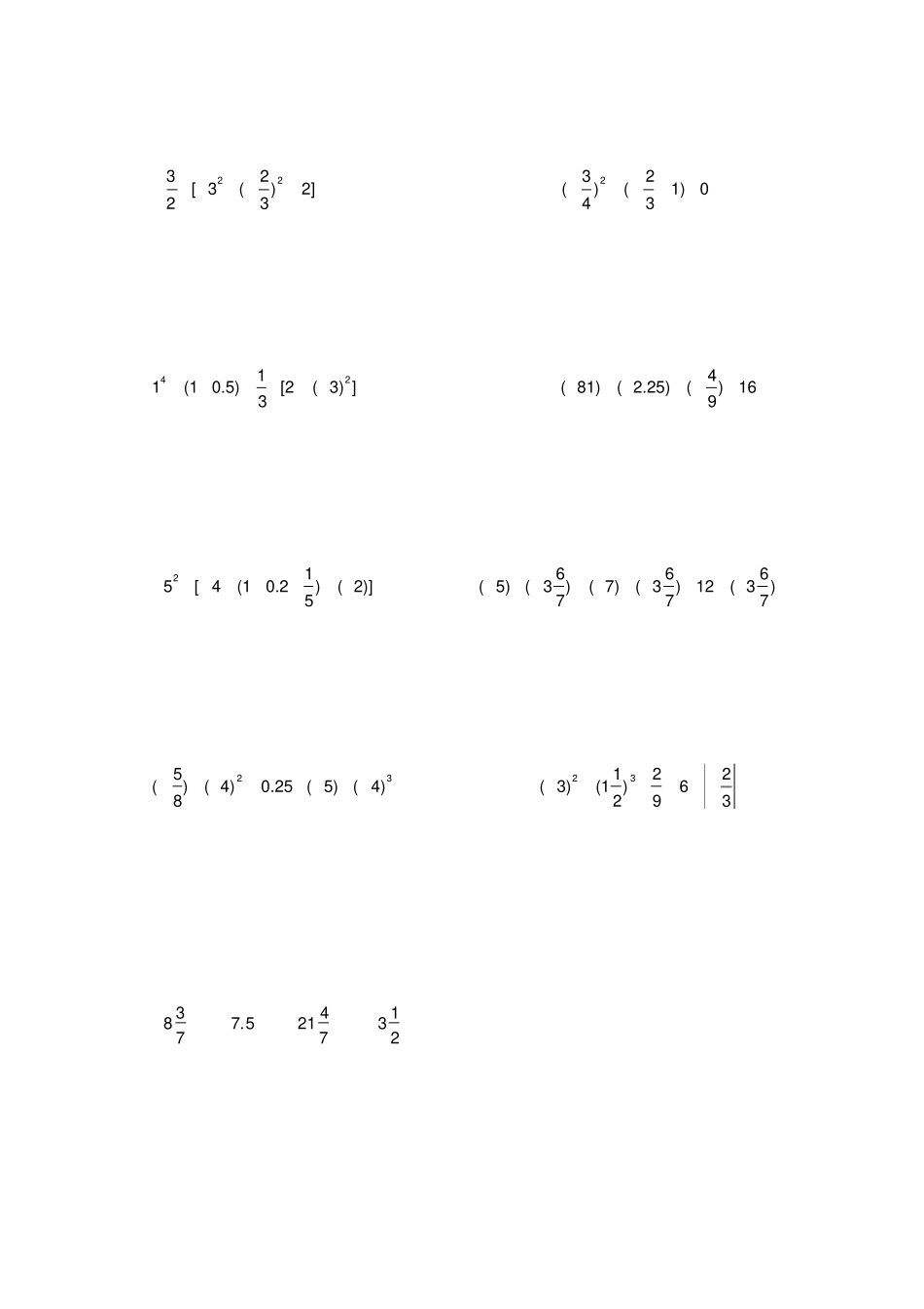
有理数的混合运算50 题2223( 23 )11( 5)()5557.20.95.6 1.7232( 1)67()()51313211()1722737()()84821( 50)()5102( 3)212411()()()2352311( 1.5)42.75( 5)428( 5)633145()225()()( 4.9)0.65622( 10)5()5323( 5)()525( 6)( 4)( 8)1612()(2)4722( 16503 )( 2)532( 6)8( 2)( 4)521122()(2 )2233199711(10.5)32232[ 3()2]23232()(1)0434211(10.5)[2( 3) ]34( 81)( 2.25)()169215[ 4(10.2)( 2)]5666( 5)( 3 )( 7)( 3)12( 3)777235()( 4)0.25( 5)( 4)823122( 3)(1 )629321374215.77387147153131125.0328139591496141312105.475.325.0433411211(– 1.76)+(– 19.15)+ (– 8.24) 23+(– 17)+( +7)+(– 13)(+ 341 )+(– 253 )+ 543+(– 852 )52+112+(–52 )2、341 – ( +5)– (–143 )+(– 5)– 99 + 100 – 97 + 98– 95 + 96 – ⋯⋯ +2 – 1– 2– 3– 4– ⋯⋯–100 (– 4)×(–9) +(–52 )×81(– 6)× 0 -(– 253 )×135100×( 0.7–103 –254+ 0.03)(– 11)×52+(– 11)× 953[65 ÷(–21 –31)+281 ] ÷(– 181) (– 18)÷(–9)+(– 63)÷( 7)0÷(– 105) +1÷(– 9)(– 5)× 8×(–7)+(– 6)×(–5)×(–7)-(– 12)× 2.45×0×9×100

1、当您付费下载文档后,您只拥有了使用权限,并不意味着购买了版权,文档只能用于自身使用,不得用于其他商业用途(如 [转卖]进行直接盈利或[编辑后售卖]进行间接盈利)。
2、本站所有内容均由合作方或网友上传,本站不对文档的完整性、权威性及其观点立场正确性做任何保证或承诺!文档内容仅供研究参考,付费前请自行鉴别。
3、如文档内容存在违规,或者侵犯商业秘密、侵犯著作权等,请点击“违规举报”。

碎片内容

有理数的混合运算练习题50题

您可能关注的文档

爱的疯狂+ 关注
实名认证
内容提供者

该用户很懒,什么也没介绍

确认删除?
VIP
微信客服
  • 扫码咨询
会员Q群
  • 会员专属群点击这里加入QQ群
客服邮箱
回到顶部