电脑桌面
添加小米粒文库到电脑桌面
安装后可以在桌面快捷访问

机械振动基础试卷VIP免费

机械振动基础试卷_第1页
1/5
机械振动基础试卷_第2页
2/5
机械振动基础试卷_第3页
3/5
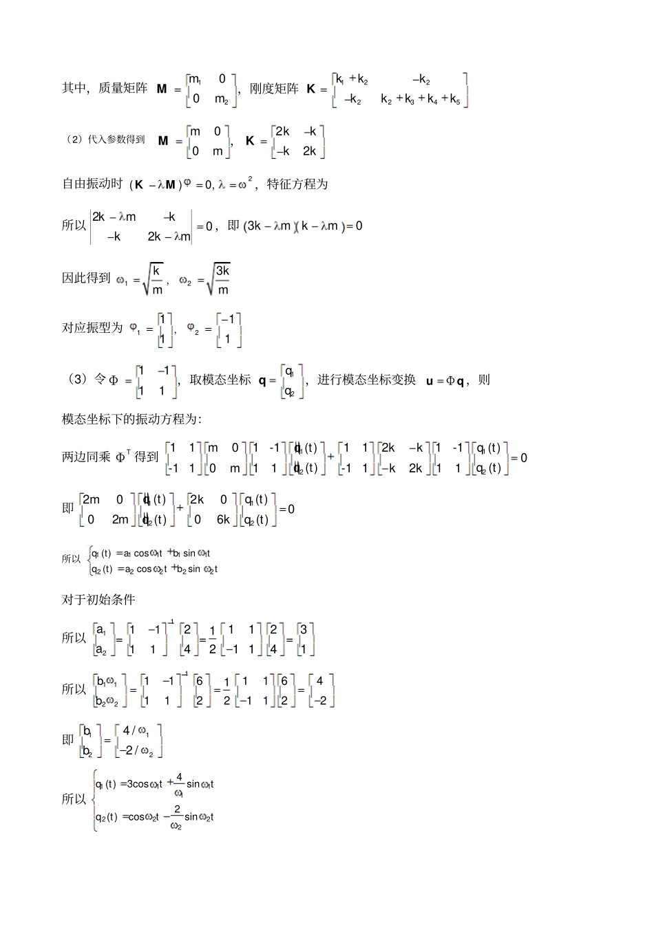
一、 填空题 ( 本大题共 5 小题,每小题 2 分,共 10 分 ) 1、 简谐振动的三要素是振幅、 频率和 初相位。2、 不论隔力还是隔幅,当频率比满足2时,隔振器才具有隔振效果。3、 单 自 由 度 系 统 欠 阻 尼 振 动 频 率d , 阻 尼 比和 固 有 频 率n 的 关 系 为21dn。4、 多自由度系统中加速度频响函数矩阵的元素()i jH表示的物理意义是指:幅值是指在系统的第 j 个自由度上施加单位幅值正弦激励后系统第i 个自由度上的加速度稳态响应幅值;幅角是指上述加速度响应滞后(超前)激励的相位角。5、 直梁的自由端剪力和弯矩为零。二、 判断题 ( 本大题共 5 小题,每小题 2 分,共 10 分 ) 1、 叠加原理适用于线性和非线性系统。(×)2、 旋转机械中,不平衡质量会引起系统产生振动。(√)3、 单自由度系统共振时系统呈阻尼特性。(√)4、 瑞利阻尼是比例阻尼。(√)5、 无限自由度系统的振动方程是一个常微分方程。(×)三、 解答题 ( 本大题共 4 小题,共 60 分 ) 1、 图示系统中不计刚性杆的质量,试建立系统的振动微分方程,并求系统的固有频率。(10 分)解:取广义坐标为,顺时针为正方向,取质量块m 进行受力分析根据动量矩定理得:sin, cos1,化简得到系统运动微分对于微振动,方程系统固有频率为厦门大学《机械振动基础》课程试卷物理与机电工程学院 航空系2009 年级 各 专业主考教师:张保强试卷类型:( A 卷)2、 试推导单自由度欠阻尼振动系统的单位脉冲响应函数表达式。(10 分)解:受单位脉冲激励的单自由度欠阻尼系统运动方程为初始条件(0)(0)0uu。设脉冲力的作用时间区间是[0,0 ] , 根据冲量定理: 1(0 )(0)mumu所以1(0 )um ,因此初始条件变为1(0 )0,(0 )uum,所以因此得到式中21dn。3、 试证明多自由度无阻尼振动系统的固有振型关于质量矩阵和刚度矩阵都具有加权正交性。 (10 分)证明:对于多自由度无阻尼系统的固有振动,有2()0KM,对应第 r 和 s 阶模态有等式两边分别乘以Ts 和Tr 得式(1)两边转置得到(3)-(2)得到22()0TrsrsM对于单构系统,22,rs rs,所以将(4)代入( 2)得到即,多自由度无阻尼振动系统的固有振型关于质量矩阵和刚度矩阵都具有加权正交性。4、 在图示振动系统中,已知:二物体的质量分别为1m 和2m ,弹簧的刚度系数分别为1k 、2k 、3k 、4k 、5k ,物块的运动阻力不计。试求:...

1、当您付费下载文档后,您只拥有了使用权限,并不意味着购买了版权,文档只能用于自身使用,不得用于其他商业用途(如 [转卖]进行直接盈利或[编辑后售卖]进行间接盈利)。
2、本站所有内容均由合作方或网友上传,本站不对文档的完整性、权威性及其观点立场正确性做任何保证或承诺!文档内容仅供研究参考,付费前请自行鉴别。
3、如文档内容存在违规,或者侵犯商业秘密、侵犯著作权等,请点击“违规举报”。

碎片内容

机械振动基础试卷

您可能关注的文档

确认删除?
VIP
微信客服
  • 扫码咨询
会员Q群
  • 会员专属群点击这里加入QQ群
客服邮箱
回到顶部