电脑桌面
添加小米粒文库到电脑桌面
安装后可以在桌面快捷访问

2016考研数学一真题答案VIP免费

2016考研数学一真题答案_第1页
1/7
2016考研数学一真题答案_第2页
2/7
2016考研数学一真题答案_第3页
3/7
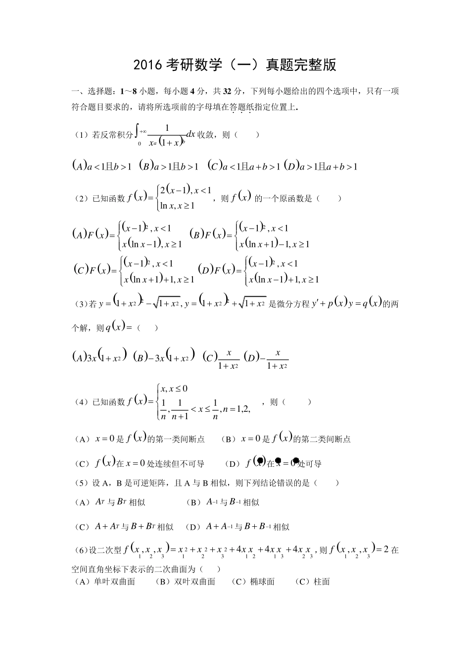
2016 考研数学(一)真题完整版 一、选择题:1 ~8 小题,每小题 4 分,共 3 2 分,下列每小题给出的四个选项中,只有一项符合题目要求的,请将所选项前的字母填在答题纸...指定位置上. (1)若反常积分011badxxx收敛,则( )     11111111A abB abC aabD aab且且且且 (2)已知函数  21 ,1ln,1xxf xx x ,则  f x的一个原函数是( )             22221,11,1ln1 ,1ln11,11,11,1ln11,1ln11,1xxxxA F xB F xxxxxxxxxxxC F xD F xxxxxxx (3)若22222211,11yxxyxx是微分方程  yp x yq x的两个解,则  q x ( )        2222313111xxAxxBxxCDxx (4)已知函数  ,0111,,1,2,1x xf xxnn nn ,则( ) (A)0x 是  f x 的第一类间断点 (B)0x 是  f x 的第二类间断点 (C)  f x 在0x 处连续但不可导 (D)  f x 在0x 处可导 (5)设 A,B 是可逆矩阵,且 A 与 B 相似,则下列结论错误的是( ) (A)TA 与TB 相似 (B)1A 与1B 相似 (C)TAA与TBB相似 (D)1AA与1BB相似 (6)设二次型 222123123121 323,,444f x x xxxxx xx xx x,则 123,,2f x x x在空间直角坐标下表示的二次曲面为( ) (A)单叶双曲面 (B)双叶双曲面 (C)椭球面 (C)柱面 (7)设随机变量 0,~2NX,记2 XPp,则( ) (A)p 随着 的增加而增加 (B)p 随着 的增加而增加 (C)p 随着 的增加而减少 (D)p 随着 的增加而减少 (8)随机试验E 有三种两两不相容的结果321,,AAA,且三种结果发生的概率均为31,将试验E 独立重复做2 次,X 表示2 次试验中结果1A 发生的次数,Y 表示2 次试验中结果2A发生的次数,则X 与Y 的相关系数为( ) 二、填空题:9 1 4 小题,每小题 4 分,共 2 4 分,请将答案写在答题纸...指定...

1、当您付费下载文档后,您只拥有了使用权限,并不意味着购买了版权,文档只能用于自身使用,不得用于其他商业用途(如 [转卖]进行直接盈利或[编辑后售卖]进行间接盈利)。
2、本站所有内容均由合作方或网友上传,本站不对文档的完整性、权威性及其观点立场正确性做任何保证或承诺!文档内容仅供研究参考,付费前请自行鉴别。
3、如文档内容存在违规,或者侵犯商业秘密、侵犯著作权等,请点击“违规举报”。

碎片内容

2016考研数学一真题答案

小辰3+ 关注
实名认证
内容提供者

出售各种资料和文档

确认删除?
VIP
微信客服
  • 扫码咨询
会员Q群
  • 会员专属群点击这里加入QQ群
客服邮箱
回到顶部