电脑桌面
添加小米粒文库到电脑桌面
安装后可以在桌面快捷访问

空间向量基本知识点

空间向量基本知识点_第1页
1/2
空间向量基本知识点_第2页
2/2
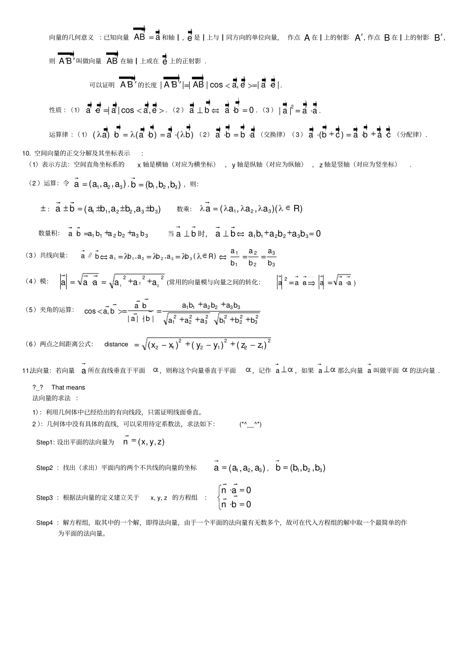
第十二讲空间向量基本理论知识梳理 :1.空间向量的有关概念(1)空间向量:空间里具有大小和方向的量叫做向量,记为a 。(2)空间向量的长度或模:空间向量也可以用有向线段来表示,有向线段的长度教做向量的长度或模,记为a 。(3)零向量和单位向量:长度为0 的向量和长度为1 的向量分别为零向量(规定:方向任意)和单位向量(4)相等向量和相反向量:长度和方向相同的向量为相等向量;长度相同方向相反的向量为相反向量。2.空间向量加减与数乘运算+:baABOAOB—:baOBOABA数乘:)(RaOP运算律:⑴加法交换律:abba⑵加法结合律:)()(cbacba⑶数乘分配律:baba)(3 共线向量 :表示空间向量的有向线段所在的直线互相平行或重合,则这些向量叫做共线向量或平行向量.If a 平行于 b ,then 记作ba //.That means: 当我们说向量 a 、 b 共线(或 a // b )时,表示 a 、 b 的有向线段所在的直线可能是同一直线,也可能是平行直线.4.共线向量定理及其推论:共线向量定理:空间任意两个向量a 、 b ( b ≠0 ), a // b 的充要条件是存在实数,使 a =b . 推论 :如果 l 为经过已知点A 且平行于已知非零向量a 的直线,那么对于任意一点O,点 P在直线 l 上的充要条件是存在实数t 满足等式 : tOAOPa .其中向量 a 叫做直线 l 的方向向量 . 5.共面向量: 已知平面和向量 a ,作 OAa,如果直线 OA 平行于或在内,那么我们说向量 a 平行于平面,记作://a.通常我们把平行于同一平面的向量,叫做共面向量。That means :空间任意的两向量都是共面的。6.共面向量定理:如果两个向量,a b 不共线, p 与向量,a b 共面的充要条件是存在实数,x y 使 pxayb推论 :空间一点 P 位于平面 MAB 内的充分必要条件是存在有序实数对,x y ,使 MPxMAyMB 或对空间任一点O ,有OPOMxMAyMB①(①式叫做平面 MAB 的向量表达式 ) 7.空间向量基本定理: 如果三个向量, ,a b c 不共面,那么对空间任一向量p ,存在一个唯一的有序实数组, ,x y z ,使 pxaybzc其中: { a, b , c } 叫做空间的一个基底,a , b , c 都叫做基向量。推论 :设,,,O A B C 是不共面的四点,则对空间任一点P ,都存在唯一的三个有序实数, ,x y z,使 OPxOAyOBzOC8.空间向量的夹角及其表示:已知两非零向量,a b ,在空间任取一点O ,作,OAa OBb ,则AOB 叫做...

1、当您付费下载文档后,您只拥有了使用权限,并不意味着购买了版权,文档只能用于自身使用,不得用于其他商业用途(如 [转卖]进行直接盈利或[编辑后售卖]进行间接盈利)。
2、本站所有内容均由合作方或网友上传,本站不对文档的完整性、权威性及其观点立场正确性做任何保证或承诺!文档内容仅供研究参考,付费前请自行鉴别。
3、如文档内容存在违规,或者侵犯商业秘密、侵犯著作权等,请点击“违规举报”。

碎片内容

空间向量基本知识点

您可能关注的文档

确认删除?
VIP
微信客服
  • 扫码咨询
会员Q群
  • 会员专属群点击这里加入QQ群
客服邮箱
回到顶部