电脑桌面
添加小米粒文库到电脑桌面
安装后可以在桌面快捷访问

广东省各区县200920122013年GDP常住人口人均GDP统计(数据更新至2014年)

广东省各区县200920122013年GDP常住人口人均GDP统计(数据更新至2014年)_第1页
1/6
广东省各区县200920122013年GDP常住人口人均GDP统计(数据更新至2014年)_第2页
2/6
广东省各区县200920122013年GDP常住人口人均GDP统计(数据更新至2014年)_第3页
3/6
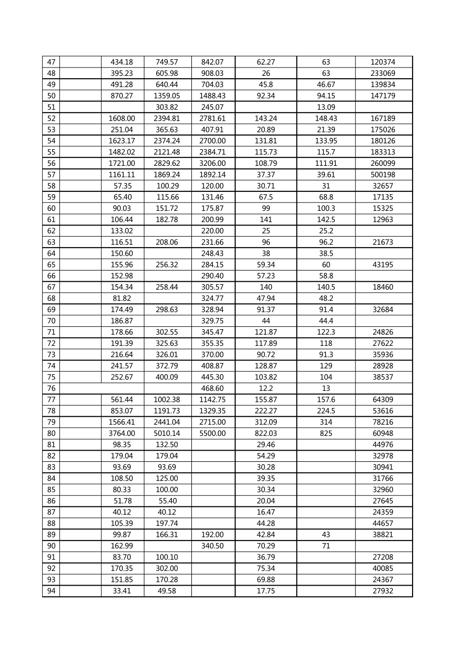
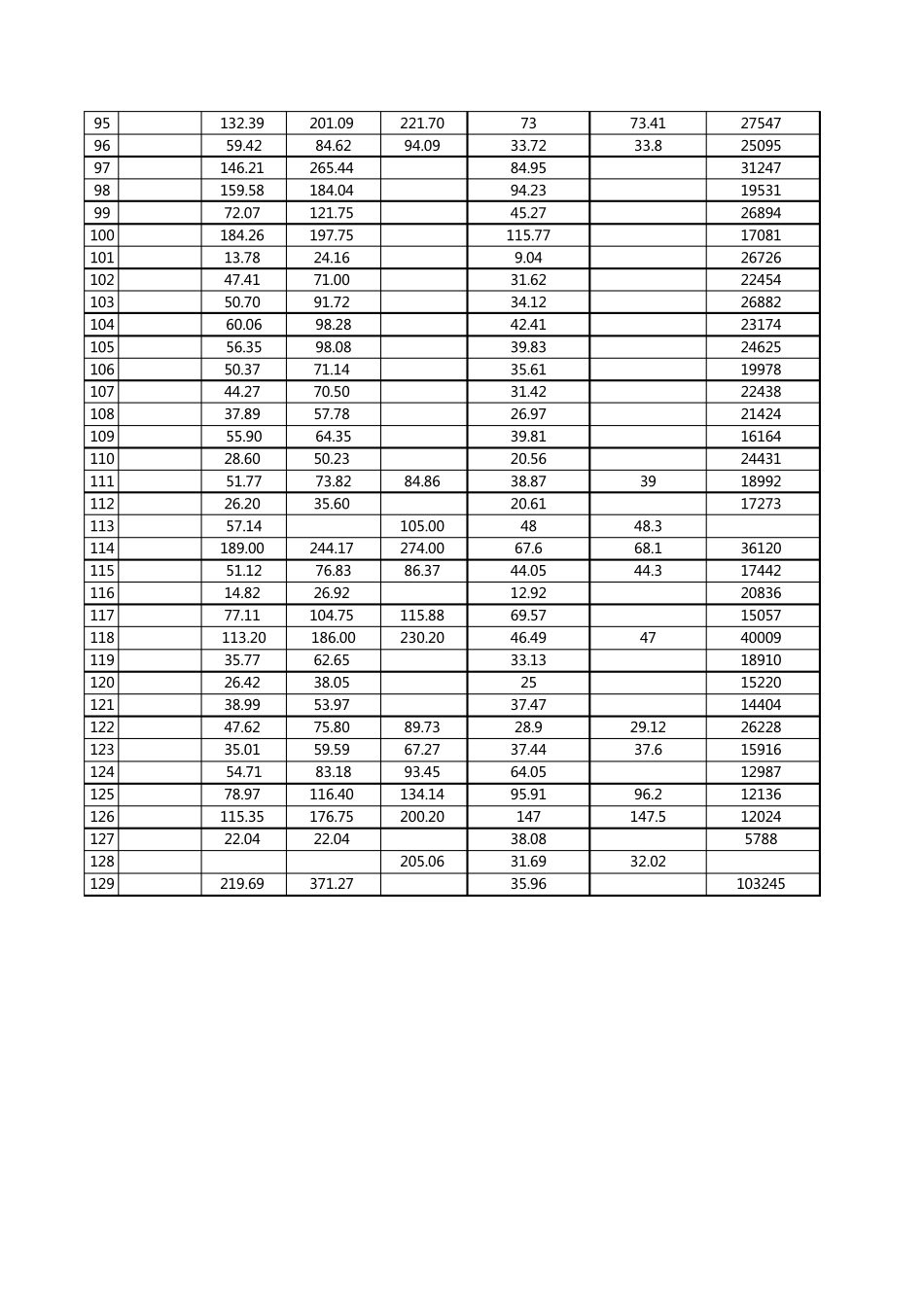
城 市2009年 GDP 2012年 GDP 2013年 GDP2011年 常 住 人口2013年 常 住 人口人均GDP(2012)1五华县59.4492.44100.81105.23105.387852兴宁市82.52123.47132.4496.2996.31128233丰顺县49.4969.0875.6247.948144224潮阳区158.58285.78162.661655惠来县103.38183.79211.00109.76111.4167456潮南区152.29257.60129.091317饶平县114.14170.59190.3088.290193418揭西县97.20156.15183.5582.5384189209南澳县8.0212.3413.336.036.12046410怀集县95.81168.63191.9281.42822071111普宁市242.85429.64504.76205.47208.52091012蕉岭县36.1249.4553.1920.5920.62401713平远县29.1255.9960.0722.9923.12435414恩平市81.47122.08133.2549.28502477315梅 县107.86147.69150.5355.4855.52662016濠江区57.4976.1526.7627.317湘桥区42.14133.0045.2545.718台山市192.95304.02313.4094.11953230519潮安县270.53425.95477.90133.54135.53189720开平市168.13240.77260.2369.74703452421澄海区200.04318.0079.898122榕城区100.42397.9774.1796.2423金平区218.28356.8081.068224鹤山市143.61198.41217.6049.49504009125龙湖区159.86258.3053.6154.326江海区85.53129.6025.442627斗门区158.53188.59210.0041.5941.754534528茂南区89.85445.5582.098329蓬江区331.12454.3579.9180.530新会区350.76491.7884.928531宝安区2207.001533.622033.00401.78152.123817132茂港区72.01276.1539.684033南海区1542.221966.002172.00258.882677594334增城市572.50745.65871.49103.67105.57192535惠城区545.271031.90116.4511836龙华新区1226.421309.1014137花都区541.48803.51902.1494.51968501938荔湾区522.88745.65871.4989.82928301639香洲区659.47806.62866.2077.1791.0310452540顺德区1662.072309.402545.10246.172549381341番禺区863.831369.421353.23176.49132.47759242光明新区501.13580.5649.243禅城区886.331208.251342.00110.11111.610973144坪山新区345.10385.1231.3545龙岗区1529.761275.701332.88232.12131.675495946高明区348.16496.65558.7242.0142.711822247三水区434.18749.57842.0762.276312037448南沙区395.23605.98908.03266323306949黄埔区491.28640.44704.0345.846.6713983450罗湖区870.271359.051488.4392.3494.1514717951大鹏新区303.82245.0713.0952天河区1608.002394.812781.61143.24148.4316718953盐田区251.04365.63407.9120.8921.3917502654福田...

1、当您付费下载文档后,您只拥有了使用权限,并不意味着购买了版权,文档只能用于自身使用,不得用于其他商业用途(如 [转卖]进行直接盈利或[编辑后售卖]进行间接盈利)。
2、本站所有内容均由合作方或网友上传,本站不对文档的完整性、权威性及其观点立场正确性做任何保证或承诺!文档内容仅供研究参考,付费前请自行鉴别。
3、如文档内容存在违规,或者侵犯商业秘密、侵犯著作权等,请点击“违规举报”。

碎片内容

广东省各区县200920122013年GDP常住人口人均GDP统计(数据更新至2014年)

您可能关注的文档

小辰4+ 关注
实名认证
内容提供者

出售各种资料和文档

确认删除?
VIP
微信客服
  • 扫码咨询
会员Q群
  • 会员专属群点击这里加入QQ群
客服邮箱
回到顶部