电脑桌面
添加小米粒文库到电脑桌面
安装后可以在桌面快捷访问

自考高等数学公式大全

自考高等数学公式大全_第1页
1/6
自考高等数学公式大全_第2页
2/6
自考高等数学公式大全_第3页
3/6
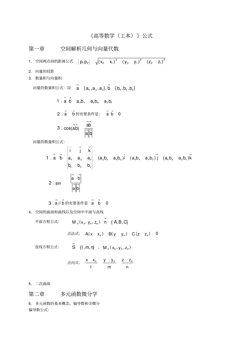
《高等数学(工本)》公式第一章空间解析几何与向量代数1. 空间两点间的距离公式21221221221)()()(zzyyxxpp2. 向量的投影3. 数量积与向量积:向量的数量积公式:设},,{},,,{zyxzyxbbbbaaaa.1zzyyxxbabababa.2ba的充要条件是:0ba.3bababa )cos(向量的数量积公式:.1kbabajbabaibababbbaaakjibaxyyxzxxzyzzyzyxzyx)()()(.2babasin.3ba //的充要条件是0ba4. 空间的曲面和曲线以及空间中平面与直线平面方程公式:),,(oooozyxM},,{CBAn点法式:0)()()(ooozzCyyBxxA直线方程公式:},,{nmlS,),,(oooozyxM点向式:nzzmyylxxooo5. 二次曲面第二章多元函数微分学6. 多元函数的基本概念,偏导数和全微分偏导数公式:.1),(),,(),,(yxvyxuvufzxvvzxuuzxzyvvzyuuzyz.2设),(),,(),,(yxvyxuvufzdxdvvzdxduuzdxdz.3设0),,(zyxFFzFyyzFzFxxz全微分公式:设),,(yxfzdyyzdxxzdz7. 复合函数与隐函数的偏导数8. 偏导数的应用:二元函数极值9. 高阶导数第三章重积分10. 二重积分计算公式:.1DkAkd( A 为 D的面积).2)()()()(1212),(),(),(yycdDxxbadxyxfdydyyxfdxdyxf.3Drdrrrfddyxf)()(12)sin,cos(),(11. 三重积分计算公式:.1利用直角坐标系计算,为bxaxyyxyyxzzyxz)()(),(),(2121),(),()()(2121),,(),,(yxzyxzxyxybadzzyxfdydxdzyxf.2利用柱面坐标计算:为zyryrxsincos),(),()()(212121),sin,cos(),,(rzrzrrdzzrrfrdrdxdvzyxf.3利用球面坐标计算:为cossinsinsincosryryrxdvzyxf),,(),(),(2)()(2121sin)cos,sinsin,sincos(rrdrrrrrfdd12. 重积分的应用公式:.1曲顶柱体的体积:DdxdyyxfV,),(曲面),(:yxfz.2设 V 为的体积:dvV.3设为曲面),(yxfz曲面的面积为dffSDyx221第四章曲线积分与曲面积分13. 对弧长的曲线积分( 1)若 L:bxaxfy),(,则baLdxxxxfdlyxf)(1)](,[),(2( 2)若 L:ttytx,)()(则dxttttfdlyxfL)()()](),([),(22( 3)当1),(yxf时,曲线 L 由 B的弧长为LdlS。14. 对坐标的曲线积分( 1)终点起点)()()(:)](,[),(bBaAxyLdxxxPdxyxPABbaLAB( 2)终点起点)()()()(:)]()(),(),(BAtytxLdttttPdxyxPABLAB15. 格林公式及其应用格林公式:QdyPdxdxdyyPxQLD)(其中 L 是沿正向取的闭区域的边界曲线。16. 姻亲的种类( P66)17. 对面积的曲面积分Dxyyxdxdyzzyxzyxfdszyxf221)],(,,[),,(),(:yxzz18. 对坐标的曲面积分DxydxdyyxzyxRdxdyzyxR)],(,,[),,(下侧取负号上侧取正号),(:yxzz第五章常微分方程19. 微分方程基本概念2...

1、当您付费下载文档后,您只拥有了使用权限,并不意味着购买了版权,文档只能用于自身使用,不得用于其他商业用途(如 [转卖]进行直接盈利或[编辑后售卖]进行间接盈利)。
2、本站所有内容均由合作方或网友上传,本站不对文档的完整性、权威性及其观点立场正确性做任何保证或承诺!文档内容仅供研究参考,付费前请自行鉴别。
3、如文档内容存在违规,或者侵犯商业秘密、侵犯著作权等,请点击“违规举报”。

碎片内容

自考高等数学公式大全

您可能关注的文档

确认删除?
VIP
微信客服
  • 扫码咨询
会员Q群
  • 会员专属群点击这里加入QQ群
客服邮箱
回到顶部