电脑桌面
添加小米粒文库到电脑桌面
安装后可以在桌面快捷访问

数值分析常用公式及示例

数值分析常用公式及示例_第1页
1/15
数值分析常用公式及示例_第2页
2/15
数值分析常用公式及示例_第3页
3/15
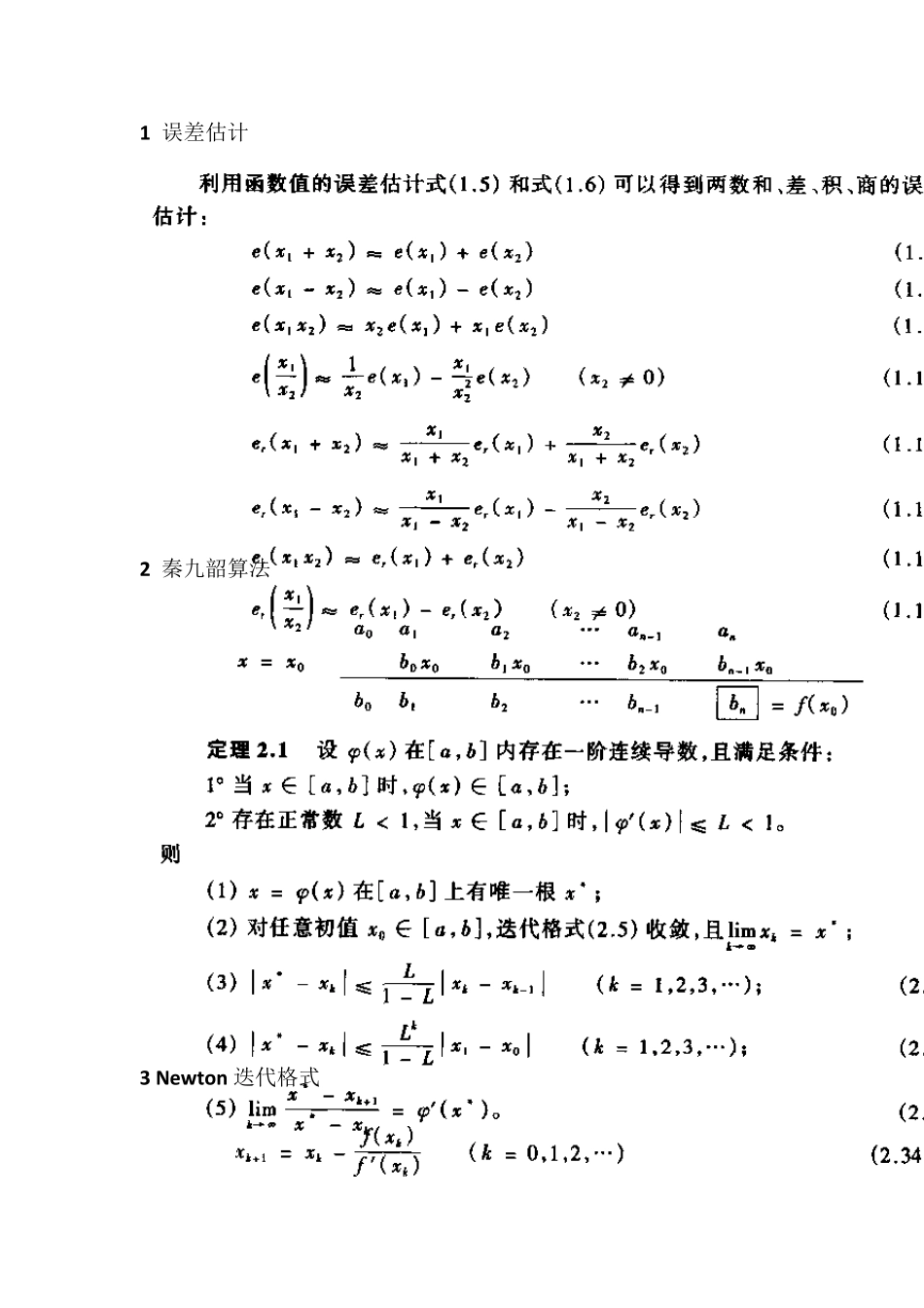
1 误差估计 2 秦九韶算法3 New ton 迭代格式4 向量范数5 矩阵范数的性质6 矩阵谱半径和矩阵的 1 范数、一致范数和 2 范数 7 条件数 8 迭代格式 9 lagrange 插值多项式 插值余项 10 New ton 插值多项式 11 Hermite 插值多项式 12 3 次样条插值函数算例 13 最佳一致逼近多项式算例 14 最佳平方逼近多项式 算例(p184) 15 超定方程组的最小二乘解 算例(p186) 16 梯形公式 17 Simpson 公式 18 截断误差 19 复化求积公式 复化梯形公式误差先验估计式误差后验估计式 复化 Simpson 公式复化 Simpson 公式截断误差 20 Romberg 求积法 21 Gauss 公式 截断误差 22 数值微分 23 Eu ler 公式 梯形公式截断误差预测校正系统与改进欧拉公式24 Ru nge-Ku tta 公式 25 古典显格式 26 古典隐格式 写成矩阵形式 当步长比 ≤ 时,古典显格式在 在范数下关于空间步长是 2 阶、关于时间步长是 1 阶收敛的。 对于任意的步长比 r,古典隐格式在 范数下关于空间步长是 2 阶、关于时间步长是 1 阶收敛的。

1、当您付费下载文档后,您只拥有了使用权限,并不意味着购买了版权,文档只能用于自身使用,不得用于其他商业用途(如 [转卖]进行直接盈利或[编辑后售卖]进行间接盈利)。
2、本站所有内容均由合作方或网友上传,本站不对文档的完整性、权威性及其观点立场正确性做任何保证或承诺!文档内容仅供研究参考,付费前请自行鉴别。
3、如文档内容存在违规,或者侵犯商业秘密、侵犯著作权等,请点击“违规举报”。

碎片内容

数值分析常用公式及示例

确认删除?
VIP
微信客服
  • 扫码咨询
会员Q群
  • 会员专属群点击这里加入QQ群
客服邮箱
回到顶部