电脑桌面
添加小米粒文库到电脑桌面
安装后可以在桌面快捷访问

时间序列考试A卷——答案2

时间序列考试A卷——答案2_第1页
1/11
时间序列考试A卷——答案2_第2页
2/11
时间序列考试A卷——答案2_第3页
3/11
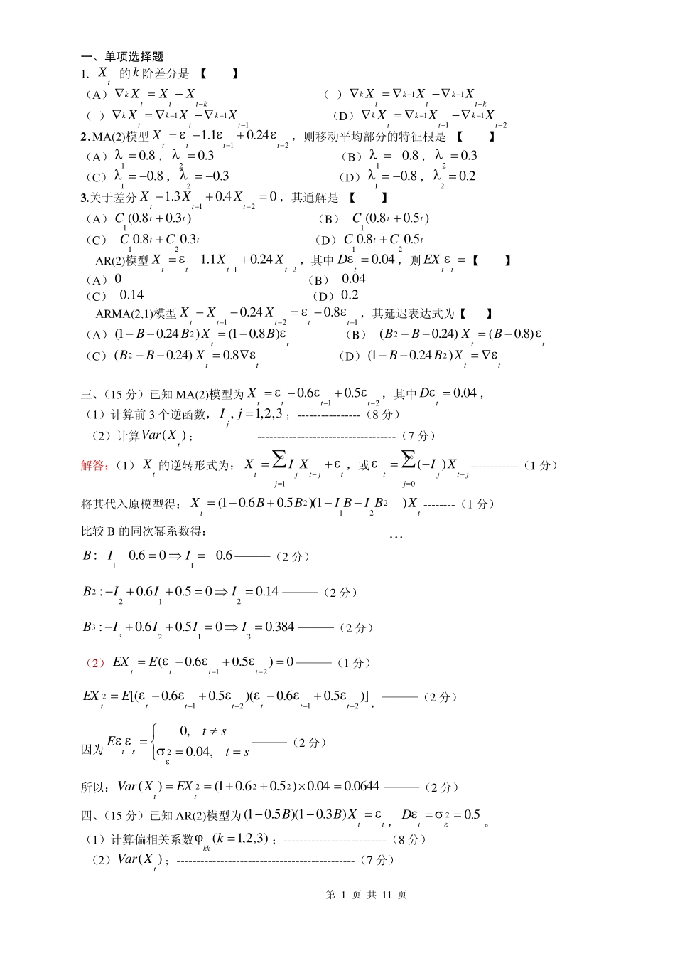
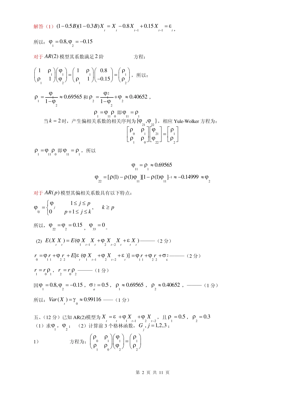
第 1 页 共 11 页 一、单项选择题 1. tX 的k 阶差分是 【 C 】 (A)kttt kXXX (B)11kkkttt kXXX  (C)111kkktttXXX  (D)1112kkktttXXX  2 . MA(2)模型121.10.24ttttX,则移动平均部分的特征根是 【 A 】 (A)10.8 ,20.3  (B)10.8  ,20.3  (C)10.8  ,20.3   (D)10.8  ,20.2  3 .关于差分121.30.40tttXXX,其通解是 【 D 】 (A)1(0.80.3 )ttC (B) 1(0.80.5 )ttC (C) 120.80.3ttCC (D)120.80.5ttCC 4. AR(2)模型121.10.24ttttXXX,其中 0.04tD ,则ttEX   【 B 】 (A)0 (B) 0.04 (C) 0.14 (D)0.2 5. ARMA(2,1)模型1210.240.8tttttXXX,其延迟表达式为【 A 】 (A)2(10.24)(10.8 )ttBBXB  (B) 2(0.24)(0.8)ttBBXB (C)2(0.24)0.8ttBBX (D)2(10.24)ttBBX  三、(15 分)已知MA(2)模型为120.60.5ttttX,其中0.04tD , (1)计算前3 个逆函数,,1,2,3jIj ;----------------(8 分) (2)计算()tVar X; -----------------------------------(7 分) 解答:(1)tX 的逆转形式为:1tjt jtjXI X,或0()tjt jjIX------------(1 分) 将其代入原模型得:2212(1 0.60.5)(1)ttXBBI BI BX--------(1 分) 比较B 的同次幂系数得: 11:0.600.6BII ———(2 分) 2212:0.60.500.14BIII———(2 分) 33213:0.60.500.384BIIII———(2 分) (2)12(0.60.5)0ttttEXE ———(1 分) 21212[(0.60.5)(0.60.5)]tttttttEXE ,———(2 分) 因为20,0.04,tstsEts  ———(2 分) 所以:222()(1 0.60.5 ) 0.040.0644ttVar XEX———(2 分) 四、(15 分)已知AR(2)模型为(1 0.5 )(10.3 )ttBB X,20.5tD。 (1)计算偏相关系数(1,2,3)kk k;--------------------------(8 分) (2)()tVar X;---------------------------...

1、当您付费下载文档后,您只拥有了使用权限,并不意味着购买了版权,文档只能用于自身使用,不得用于其他商业用途(如 [转卖]进行直接盈利或[编辑后售卖]进行间接盈利)。
2、本站所有内容均由合作方或网友上传,本站不对文档的完整性、权威性及其观点立场正确性做任何保证或承诺!文档内容仅供研究参考,付费前请自行鉴别。
3、如文档内容存在违规,或者侵犯商业秘密、侵犯著作权等,请点击“违规举报”。

碎片内容

时间序列考试A卷——答案2

您可能关注的文档

确认删除?
VIP
微信客服
  • 扫码咨询
会员Q群
  • 会员专属群点击这里加入QQ群
客服邮箱
回到顶部