电脑桌面
添加小米粒文库到电脑桌面
安装后可以在桌面快捷访问

解三角形练习题VIP专享

解三角形练习题_第1页
1/3
解三角形练习题_第2页
2/3
解三角形练习题_第3页
3/3
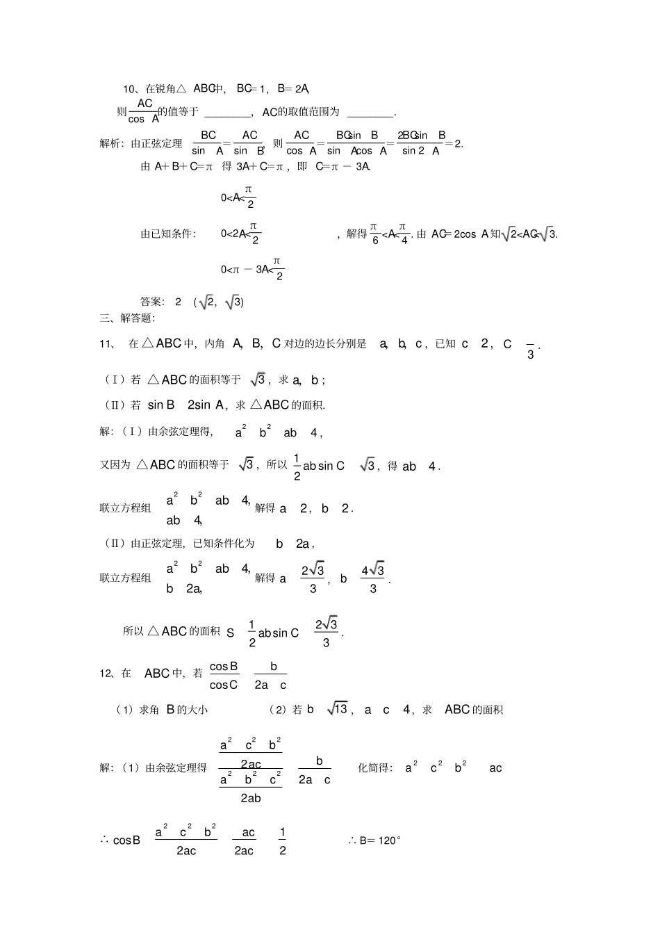
解三角形练习(提升)(含答案)一、选择题1、在△ ABC中,,,a b c 分别是内角A , B , C所对的边,若coscAb , 则△ ABC形状为 C.A 一定是锐角三角形B . 一定是钝角三角形C . 一定是直角三角形D . 可能是锐角三角形, 也可能是钝角三角形2、在△ ABC中,角 A、B、 C的对边分别为a、b、c, 若( a2+c2- b2)tan B=3ac ,则角 B的值为( D )A.6 B.3 C.6或 56 D.3或 233、在ABC△中,3AB,45Ao ,75Co ,则 BC(A)A. 33B.2C. 2D. 334、在ABC 中,060A,且最大边长和最小边长是方程01172xx的两个根,则第三边的长为(C )A.2 B.3 C.4 D.55、在ABC△中,根据下列条件解三角形,则其中有二个解的是DA、10,45 ,70bACoo B、60,48,60acBoC、7,5,80abAo D、14,16,45abAo6、长为 5、7、8 的三角形的最大角与最小角之和为 ( B )A 90° B 120° C 135° D 150°二、填空题:7、如图,在△ABC 中, D 是边 AC 上的点,且BDBCBDABADAB2,32,,则Csin的值为 ___________。668、 如图,△ ABC中, AB=AC=2, BC=2 3 ,点 D 在 BC边上,∠ ADC=45° ,则AD的长度等于 ______。解析:在△ABC中,AB=AC=2,BC=2 3 中,30ACBABCo,而∠ADC=45° ,sin 45sin 30ACADoo ,2AD, 答案应填2 。9、在ABC△中,若1tan3A,150Co ,1BC,则 AB .答案21010、在锐角△ ABC中, BC=1,B= 2A,则ACcos A的值等于 ________,AC的取值范围为 ________.解析:由正弦定理BCsin A=ACsin B,则ACcos A=BCsin Bsin Acos A=2BCsin Bsin 2 A =2.由 A+B+C=π得 3A+C=π ,即 C=π - 3A.由已知条件:0

1、当您付费下载文档后,您只拥有了使用权限,并不意味着购买了版权,文档只能用于自身使用,不得用于其他商业用途(如 [转卖]进行直接盈利或[编辑后售卖]进行间接盈利)。
2、本站所有内容均由合作方或网友上传,本站不对文档的完整性、权威性及其观点立场正确性做任何保证或承诺!文档内容仅供研究参考,付费前请自行鉴别。
3、如文档内容存在违规,或者侵犯商业秘密、侵犯著作权等,请点击“违规举报”。

碎片内容

解三角形练习题

确认删除?
微信客服
  • 扫码咨询
会员Q群
  • 会员专属群点击这里加入QQ群