电脑桌面
添加小米粒文库到电脑桌面
安装后可以在桌面快捷访问

解不等式组计算专项练习60题有答案

解不等式组计算专项练习60题有答案_第1页
1/7
解不等式组计算专项练习60题有答案_第2页
2/7
解不等式组计算专项练习60题有答案_第3页
3/7
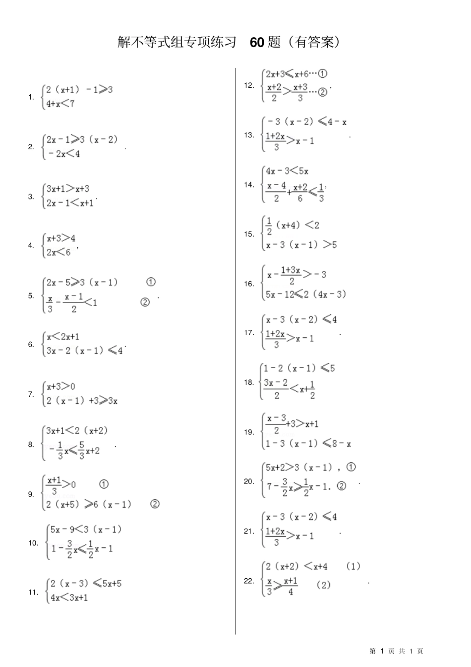
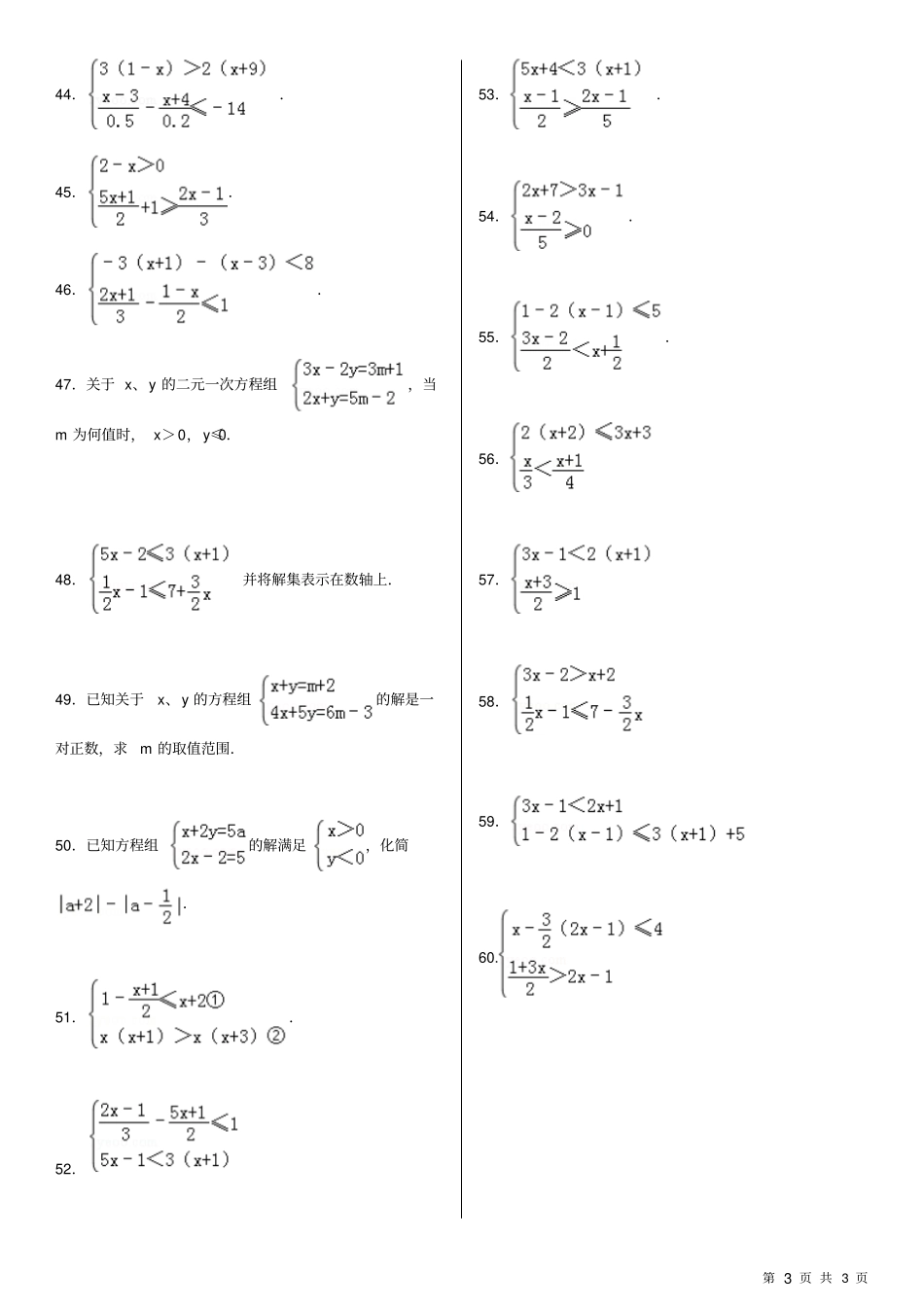
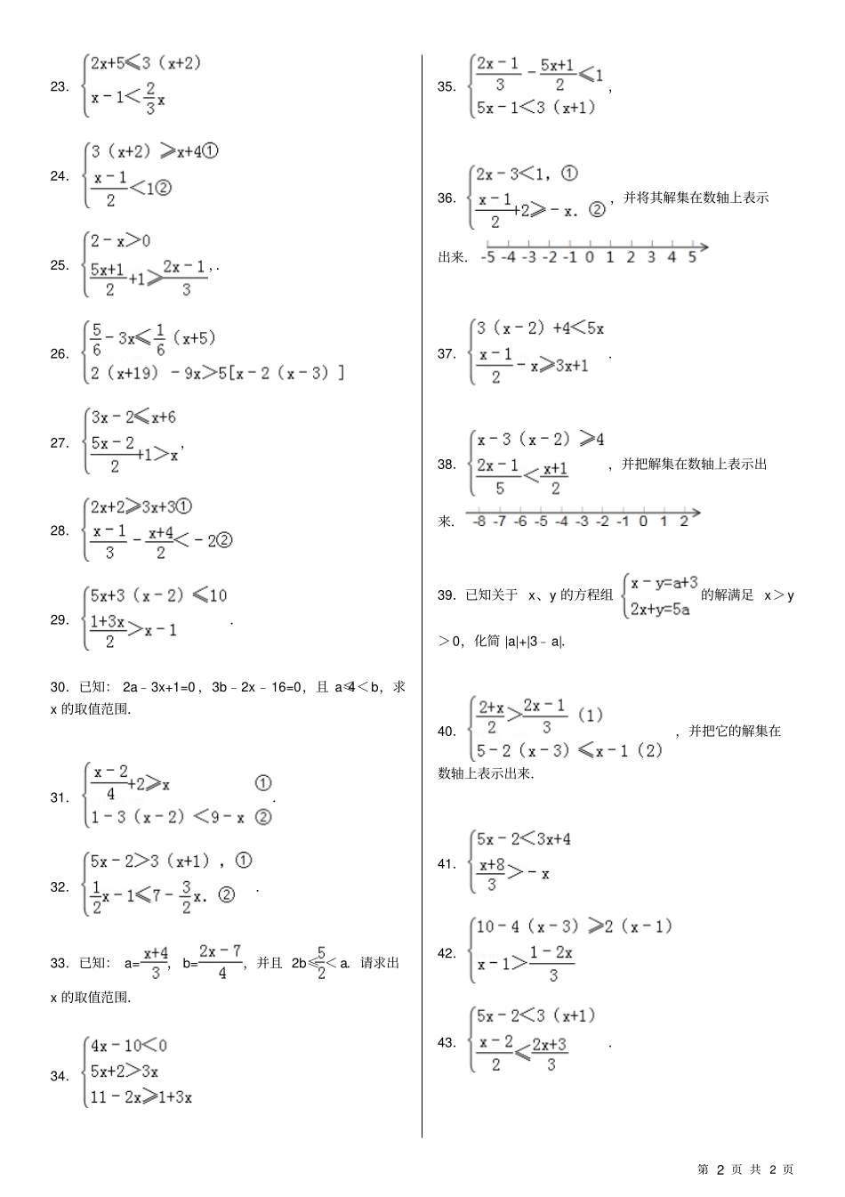
第 1 页 共 1 页解不等式组专项练习60 题(有答案)1.2..3..4.,5..6..7.8..9.10.11.12.,13..14.,15.16.17..18. 19.20..21..22..第 2 页 共 2 页23.24.25.,.26.27.,28.29..30.已知: 2a﹣3x+1=0 ,3b﹣2x﹣16=0,且 a≤4<b,求x 的取值范围.31..32..33.已知: a=, b=,并且 2b≤ < a.请求出x 的取值范围.34.35.,36.,并将其解集在数轴上表示出来.37..38.,并把解集在数轴上表示出来.39.已知关于 x、y 的方程组的解满足 x>y>0,化简 |a|+|3﹣a|.40.,并把它的解集在数轴上表示出来.41.42.43..第 3 页 共 3 页44..45..46..47.关于 x、y 的二元一次方程组,当m 为何值时, x>0,y≤0.48.并将解集表示在数轴上.49.已知关于x、y 的方程组的解是一对正数,求m 的取值范围.50.已知方程组的解满足,化简.51..52.53..54..55..56.57.58.59.60.第 4 页 共 4 页解不等式组 60 题参考答案:1、解:,由 ① 得 2x≥2,即 x≥1;由 ② 得 x<3;故不等式组的解集为:1≤x<3.2.解:,由 ① 得: x≤5,由 ② 得: x>﹣ 2,不等式组的解集为﹣2<x≤5 3.解:解不等式 ① ,得 x> 1.解不等式 ② ,得 x<2.故不等式组的解集为:1<x<2.4.解:,解不等式 ① 得, x>1,解不等式 ② 得, x<3,故不等式的解集为:1< x<3,5.解不等式 ① ,得 x≤﹣2,解不等式 ② ,得 x>﹣ 3,故原不等式组的解集为﹣3<x≤﹣2,6.解:,解不等式 ① 得:x>﹣ 1,解不等式 ② 得:x≤2,不等式组的解集为:﹣1<x≤2,7.解:,由 ① 得 x>﹣ 3;由 ② 得 x≤1 故此不等式组的解集为:﹣3<x≤1,8.解:解不等式 ① ,得 x<3,解不等式 ② ,得 x≥﹣1.所以原不等式的解集为﹣1≤x<3.9.解: 由 ① 得, x>﹣ 1;由 ② 得, x≤4,∴此不等式组的解集为:﹣1<x≤4,10.解:,解不等式 ① 得: x<3,解不等式 ② 得: x≥1,不等式组的解集是1≤x<311.解:,由 ① 得, x≥﹣;由 ② 得, x<1,故此不等式组的解集为:﹣<x<1,12.解: 由 ① 得, x≤3,由 ② 得 x>0,∴此不等式组的解集为:0<x≤3,13.解:解不等式 ① ,得 x≥1;解不等式 ② ,得 x<4.∴ 1≤x<4.14.解:原不等式组可...

1、当您付费下载文档后,您只拥有了使用权限,并不意味着购买了版权,文档只能用于自身使用,不得用于其他商业用途(如 [转卖]进行直接盈利或[编辑后售卖]进行间接盈利)。
2、本站所有内容均由合作方或网友上传,本站不对文档的完整性、权威性及其观点立场正确性做任何保证或承诺!文档内容仅供研究参考,付费前请自行鉴别。
3、如文档内容存在违规,或者侵犯商业秘密、侵犯著作权等,请点击“违规举报”。

碎片内容

解不等式组计算专项练习60题有答案

您可能关注的文档

确认删除?
VIP
微信客服
  • 扫码咨询
会员Q群
  • 会员专属群点击这里加入QQ群
客服邮箱
回到顶部