电脑桌面
添加小米粒文库到电脑桌面
安装后可以在桌面快捷访问

洛必达法则泰勒公式

洛必达法则泰勒公式_第1页
1/15
洛必达法则泰勒公式_第2页
2/15
洛必达法则泰勒公式_第3页
3/15
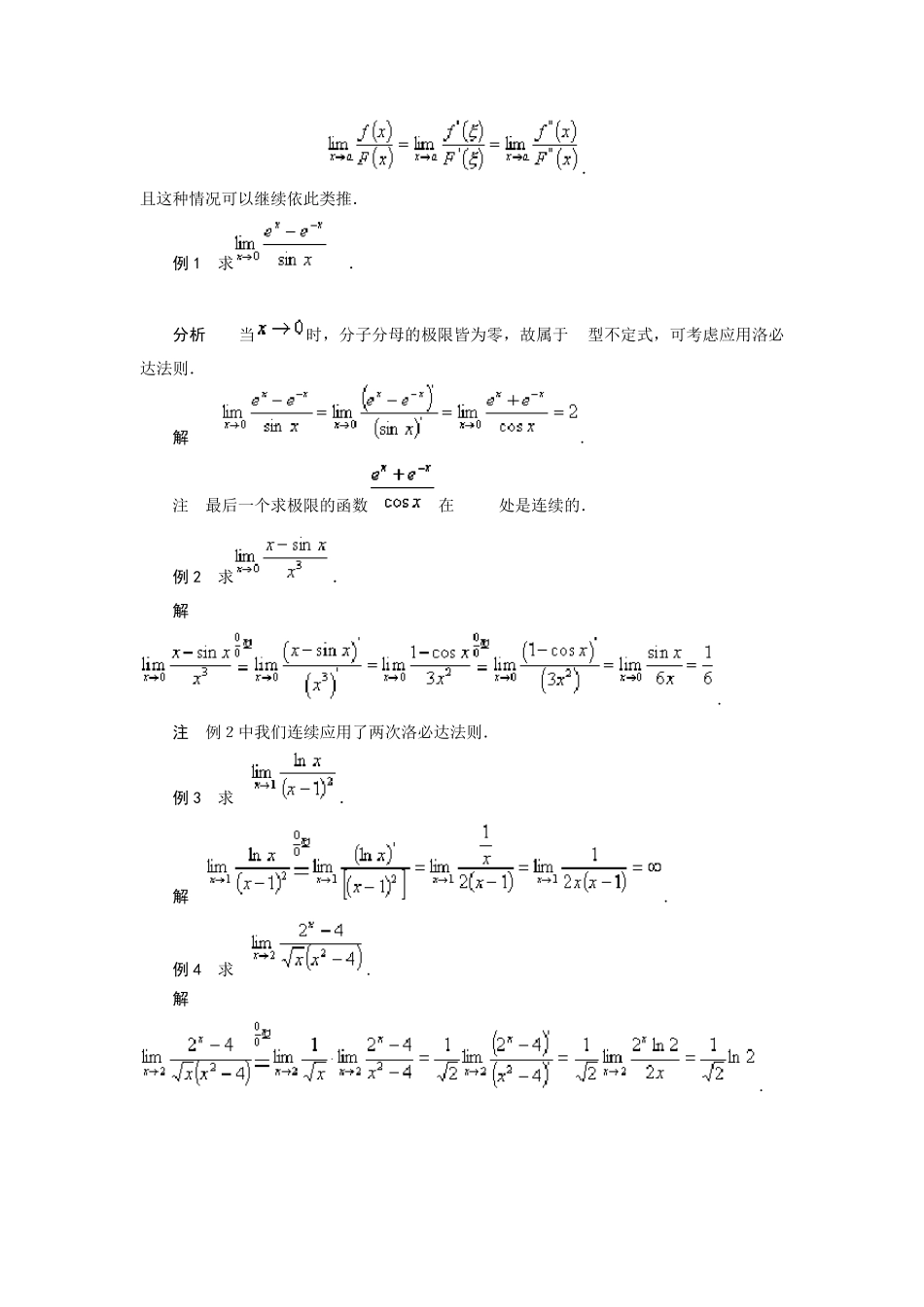
第三章 微分中值定理与导数的应用 第二讲 洛必达法则 泰勒公式 目的 1.使学生掌握用洛必达法则求各种类型未定式极限的方法; 2.理解泰勒中值定理的内涵; 3. 了解等函数的麦克劳林公式; 4.学会泰勒中值定理的一些简单应用. 重点 1.运用洛必达法则求各种类型未定式极限的方法; 2.使学生理解泰勒中值定理的内涵. 难点 使学生深刻理解泰勒中值定理的精髓. 一、洛必达法则 在第一章第七节中我们曾经讨论过无穷小的比较问题,并且已经知道两个无穷小之比的极限可能存在,也可能不存在,既使它存在也不能用商的极限运算法则去求解.而由无穷大与无穷小的关系知,无穷大之比的极限问题也是如此.在数学上,通常把无穷小之比的极限和无穷大之比的极限称为未定式,并分别简记为和. 由于在讨论上述未定式的极限时,不能应用商的极限运算法则,这或多或少地都会给未定式极限的讨论带来一定的困难.今天在这里我们应用导数的理论推出一种既简便又重要的未定式极限的计算方法,并着重讨论当时,型未定式极限的计算,关于这种情形有以下定理. 定理 1 设 (1) 当时,函数及都趋于零; (2)在点的某去心邻域内,及都存在,且 ; (3)存在(或为无穷大), 则 . 也就是说,当存在时,也存在,且等于;当为无穷大时,也是无穷大.这种在一定条件下,通过分子分母分别求导,再求极限来确定未定式极限的方法称为洛必达(L’Hospital)法则. 下面我们给出定理 1 的严格证明: 分析 由于上述定理的结论是把函数的问题转化为其导数的问题,显然应考虑微分中值定理.再由分子和分母是两个不同的函数,因此应考虑应用柯西中值定理. 证 因 为求极限与及的取 值 无关 ,所 以 可 以 假 定.于是由条件(1)和(2)知,及在点的某一邻域内是连续的.设是这邻域内一点,则在以及为端点的区间上,函数和满足柯西中值定理的条件,因此在和之间至少存在一点,使得等式 (在与之间) 成立. 对上式两端求 时的极限,注意到时 ,则 . 又因为极限存在(或为无穷大),所以 . 故定理 1 成立. 注 若仍为型未定式,且此时和能满足定理 1 中和所要满足的条件,则可以继续使用洛必达法则先确定,从而确定和,即 . 且这种情况可以继续依此类推. 例 1 求 . 分析 当 时,分子分母的极限皆为零,故属于型不定式,可考虑应用洛必达法则. 解 . 注 最后一个求极限的函数在处是连续的. 例 2 求. 解 . 注...

1、当您付费下载文档后,您只拥有了使用权限,并不意味着购买了版权,文档只能用于自身使用,不得用于其他商业用途(如 [转卖]进行直接盈利或[编辑后售卖]进行间接盈利)。
2、本站所有内容均由合作方或网友上传,本站不对文档的完整性、权威性及其观点立场正确性做任何保证或承诺!文档内容仅供研究参考,付费前请自行鉴别。
3、如文档内容存在违规,或者侵犯商业秘密、侵犯著作权等,请点击“违规举报”。

碎片内容

洛必达法则泰勒公式

您可能关注的文档

小辰+ 关注
实名认证
内容提供者

出售各种文档和资料

相关文档

确认删除?
VIP
微信客服
  • 扫码咨询
会员Q群
  • 会员专属群点击这里加入QQ群
客服邮箱
回到顶部