电脑桌面
添加小米粒文库到电脑桌面
安装后可以在桌面快捷访问

选修44极坐标与参数方程试题精选8套

选修44极坐标与参数方程试题精选8套_第1页
1/24
选修44极坐标与参数方程试题精选8套_第2页
2/24
选修44极坐标与参数方程试题精选8套_第3页
3/24
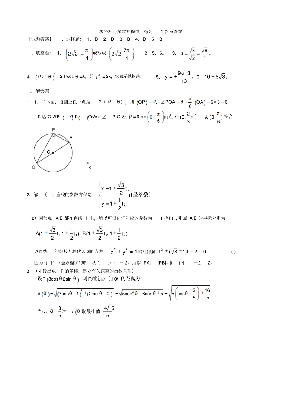
极坐标与参数方程单元练习1 一、选择题(每小题5 分,共 25 分)1、已知点 M 的极坐标为35,,下列所给出的四个坐标中能表示点M 的坐标是()。A. 53,B. 543,C. 523,D. 355,2、直线: 3x-4y-9=0 与圆:sin2cos2yx,( θ为参数 ) 的位置关系是 ( ) A. 相切 B.相离 C.直线过圆心 D.相交但直线不过圆心3、在参数方程sincostbytax( t 为参数)所表示的曲线上有B、C两点,它们对应的参数值分别为t 1、t 2,则线段 BC的中点 M对应的参数值是()4、曲线的参数方程为12322tytx(t 是参数 ) ,则曲线是()A、线段 B、双曲线的一支 C、圆 D 、射线5、实数 x、 y 满足 3x2+2y2=6x,则 x2+y2 的最大值为()A、27B、 4 C、29 D 、5 二、填空题(每小题5 分,共 30 分)1、点22,的极坐标为。2、若 A 33,,B64,,则 |AB|=___________ , SAOB___________。(其中 O 是极点)3、极点到直线cossin3 的距离是 ________ _____。4、极坐标方程2sin2 cos0表示的曲线是 _______ _____。5、圆锥曲线为参数sec3tan2yx的准线方程是。6、直线 l 过点5,10M,倾斜角是3,且与直线032yx交于 M ,则0MM的长为。三、解答题(第1 题 14 分,第 2 题 16 分,第 3 题 15 分;共 45 分)1、求圆心为C36,,半径为 3 的圆的极坐标方程。2、已知直线l 经过点 P(1,1),倾斜角6,(1)写出直线l 的参数方程。(2)设 l 与圆422yx相交与两点A、B,求点 P到 A、 B两点的距离之积。3、求椭圆14922yx)之间距离的最小值,与定点(上一点01P。极坐标与参数方程单元练习1 参考答案【试题答案】一、选择题: 1、D 2、D 3、B 4、D 5、B 二、填空题: 1、422,或写成4722,。2、5,6。3、 d3262。4、22sin2cos02yx,即,它表示抛物线。5、13139y。6、3610。三、解答题1、1、如下图,设圆上任一点为P(,),则2 366OPPOAOA,,c o sR tO A PO PO AP O A中,6 c o s6而点 O)32,0(A)6,0(符合P A C O x 2、解:( 1)直线的参数方程是是参数)ttytx(;211,231(2)因为点 A,B 都在直线 l 上,所以可设它们对应的参数为t 1和 t 2, 则点 A,B 的坐标分别为),211,231(11ttA)211,231(22ttB以直线 L 的参数方程代入圆的方程422yx整理得到02)13(2tt①因为 t 1和 t 2是方程①的解,从而t 1t 2=- 2。所以 |PA| ·|PB|= |t1t 2| =| -2| =2。3...

1、当您付费下载文档后,您只拥有了使用权限,并不意味着购买了版权,文档只能用于自身使用,不得用于其他商业用途(如 [转卖]进行直接盈利或[编辑后售卖]进行间接盈利)。
2、本站所有内容均由合作方或网友上传,本站不对文档的完整性、权威性及其观点立场正确性做任何保证或承诺!文档内容仅供研究参考,付费前请自行鉴别。
3、如文档内容存在违规,或者侵犯商业秘密、侵犯著作权等,请点击“违规举报”。

碎片内容

选修44极坐标与参数方程试题精选8套

您可能关注的文档

文库当当响+ 关注
实名认证
内容提供者

该用户很懒,什么也没介绍

确认删除?
VIP
微信客服
  • 扫码咨询
会员Q群
  • 会员专属群点击这里加入QQ群
客服邮箱
回到顶部