电脑桌面
添加小米粒文库到电脑桌面
安装后可以在桌面快捷访问

商业资料微积分公式VIP免费

商业资料微积分公式_第1页
1/7
商业资料微积分公式_第2页
2/7
商业资料微积分公式_第3页
3/7
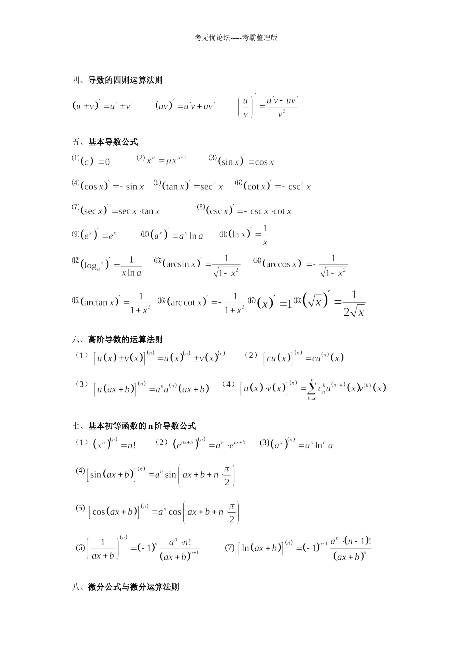
考无忧论坛-----考霸整理版AthesissubmittedtoinpartialfulfillmentoftherequirementforthedegreeofMasterofEngineering有关高等数学计算过程中所涉及到的数学公式(集锦)一、(系数不为0的情况)二、重要公式(1)(2)(3)(4)(5)(6)(7)(8)(9)(10)(11)三、下列常用等价无穷小关系()考无忧论坛-----考霸整理版四、导数的四则运算法则五、基本导数公式⑴⑵⑶⑷⑸⑹⑺⑻⑼⑽⑾⑿⒀⒁⒂⒃⒄⒅六、高阶导数的运算法则(1)(2)(3)(4)七、基本初等函数的n阶导数公式(1)(2)(3)(4)(5)(6)(7)八、微分公式与微分运算法则考无忧论坛-----考霸整理版⑴⑵⑶⑷⑸⑹⑺⑻⑼⑽⑾⑿⒀⒁⒂⒃九、微分运算法则⑴⑵⑶⑷十、基本积分公式⑴⑵⑶⑷⑸⑹⑺⑻⑼⑽⑾十一、下列常用凑微分公式积分型换元公式考无忧论坛-----考霸整理版十二、补充下面几个积分公式十三、分部积分法公式⑴形如,令,形如令,形如令,考无忧论坛-----考霸整理版⑵形如,令,形如,令,⑶形如,令均可。十四、第二换元积分法中的三角换元公式(1)(2)(3)【特殊角的三角函数值】(1)(2)(3)(4))(5)(1)(2)(3)(4))(5)(1)(2)(3)(4)不存在(5)(1)不存在(2)(3)(4)(5)不存在十五、三角函数公式1.两角和公式2.二倍角公式3.半角公式考无忧论坛-----考霸整理版4.和差化积公式5.积化和差公式6.万能公式7.平方关系8.倒数关系9.商数关系十六、几种常见的微分方程1.可分离变量的微分方程:,考无忧论坛-----考霸整理版2.齐次微分方程:3.一阶线性非齐次微分方程:解为:

1、当您付费下载文档后,您只拥有了使用权限,并不意味着购买了版权,文档只能用于自身使用,不得用于其他商业用途(如 [转卖]进行直接盈利或[编辑后售卖]进行间接盈利)。
2、本站所有内容均由合作方或网友上传,本站不对文档的完整性、权威性及其观点立场正确性做任何保证或承诺!文档内容仅供研究参考,付费前请自行鉴别。
3、如文档内容存在违规,或者侵犯商业秘密、侵犯著作权等,请点击“违规举报”。

碎片内容

商业资料微积分公式

确认删除?
VIP
微信客服
  • 扫码咨询
会员Q群
  • 会员专属群点击这里加入QQ群
客服邮箱
回到顶部