电脑桌面
添加小米粒文库到电脑桌面
安装后可以在桌面快捷访问

酒精浓度和温度的对照表共

酒精浓度和温度的对照表共_第1页
1/21
酒精浓度和温度的对照表共_第2页
2/21
酒精浓度和温度的对照表共_第3页
3/21
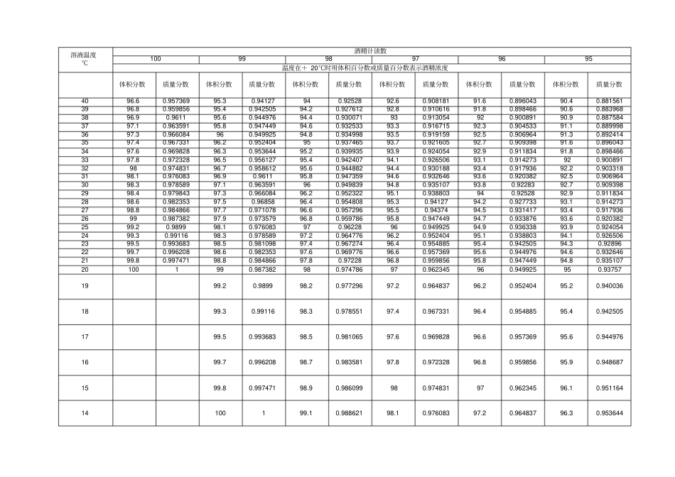
酒 精 计 温 度 浓 度换 算 表溶液温度℃酒精计读数100 99 98 97 96 95 温度在+ 20℃时用体积百分数或质量百分数表示酒精浓度体积分数质量分数体积分数质量分数体积分数质量分数体积分数质量分数体积分数质量分数体积分数质量分数40 96.6 0.957369 95.3 0.94127 94 0.92528 92.6 0.908181 91.6 0.896043 90.4 0.881561 39 96.8 0.959856 95.4 0.942505 94.2 0.927612 92.8 0.910616 91.8 0.898466 90.6 0.883968 38 96.9 0.9611 95.6 0.944976 94.4 0.930071 93 0.913054 92 0.900891 90.9 0.887584 37 97.1 0.963591 95.8 0.947449 94.6 0.932533 93.3 0.916715 92.3 0.904533 91.1 0.889998 36 97.3 0.966084 96 0.949925 94.8 0.934998 93.5 0.919159 92.5 0.906964 91.3 0.892414 35 97.4 0.967331 96.2 0.952404 95 0.937465 93.7 0.921605 92.7 0.909398 91.6 0.896043 34 97.6 0.969828 96.3 0.953644 95.2 0.939935 93.9 0.924054 92.9 0.911834 91.8 0.898466 33 97.8 0.972328 96.5 0.956127 95.4 0.942407 94.1 0.926506 93.1 0.914273 92 0.900891 32 98 0.974831 96.7 0.958612 95.6 0.944882 94.4 0.930188 93.4 0.917936 92.2 0.903318 31 98.1 0.976083 96.9 0.9611 95.8 0.947359 94.6 0.932646 93.6 0.920382 92.5 0.906964 30 98.3 0.978589 97.1 0.963591 96 0.949839 94.8 0.935107 93.8 0.92283 92.7 0.909398 29 98.4 0.979843 97.3 0.966084 96.2 0.952322 95.1 0.938803 94 0.92528 92.9 0.911834 28 98.6 0.982353 97.5 0.96858 96.4 0.954808 95.3 0.94127 94.2 0.927733 93.1 0.914273 27 98.8 0.984866 97.7 0.971078 96.6 0.957296 95.5 0.94374 94.5 0.931417 93.4 0.917936 26 99 0.987382 97.9 0.973579 96.8 0.959786 95.8 0.947449 94.7 0.933876 93.6 0.920382 25 99.2 0.9899 98.1 0.976083 97 0.96228 96 0.949925 94.9 0.936338 93.9 0.924054 24 99.3 0.99116 98.3 0.978589 97.2 0.964776 96.2 0.952404 95.1 0.938803 94.1 0.926506 23 99.5 0.993683 98.5 0.981098 97.4 0.967274 96.4 0.954885 95.4 0.942505 94.3 0.92896 22 99.7...

1、当您付费下载文档后,您只拥有了使用权限,并不意味着购买了版权,文档只能用于自身使用,不得用于其他商业用途(如 [转卖]进行直接盈利或[编辑后售卖]进行间接盈利)。
2、本站所有内容均由合作方或网友上传,本站不对文档的完整性、权威性及其观点立场正确性做任何保证或承诺!文档内容仅供研究参考,付费前请自行鉴别。
3、如文档内容存在违规,或者侵犯商业秘密、侵犯著作权等,请点击“违规举报”。

碎片内容

酒精浓度和温度的对照表共

爱的疯狂+ 关注
实名认证
内容提供者

该用户很懒,什么也没介绍

确认删除?
VIP
微信客服
  • 扫码咨询
会员Q群
  • 会员专属群点击这里加入QQ群
客服邮箱
回到顶部