电脑桌面
添加小米粒文库到电脑桌面
安装后可以在桌面快捷访问

三角函数-历年高考题

三角函数-历年高考题_第1页
1/13
三角函数-历年高考题_第2页
2/13
三角函数-历年高考题_第3页
3/13
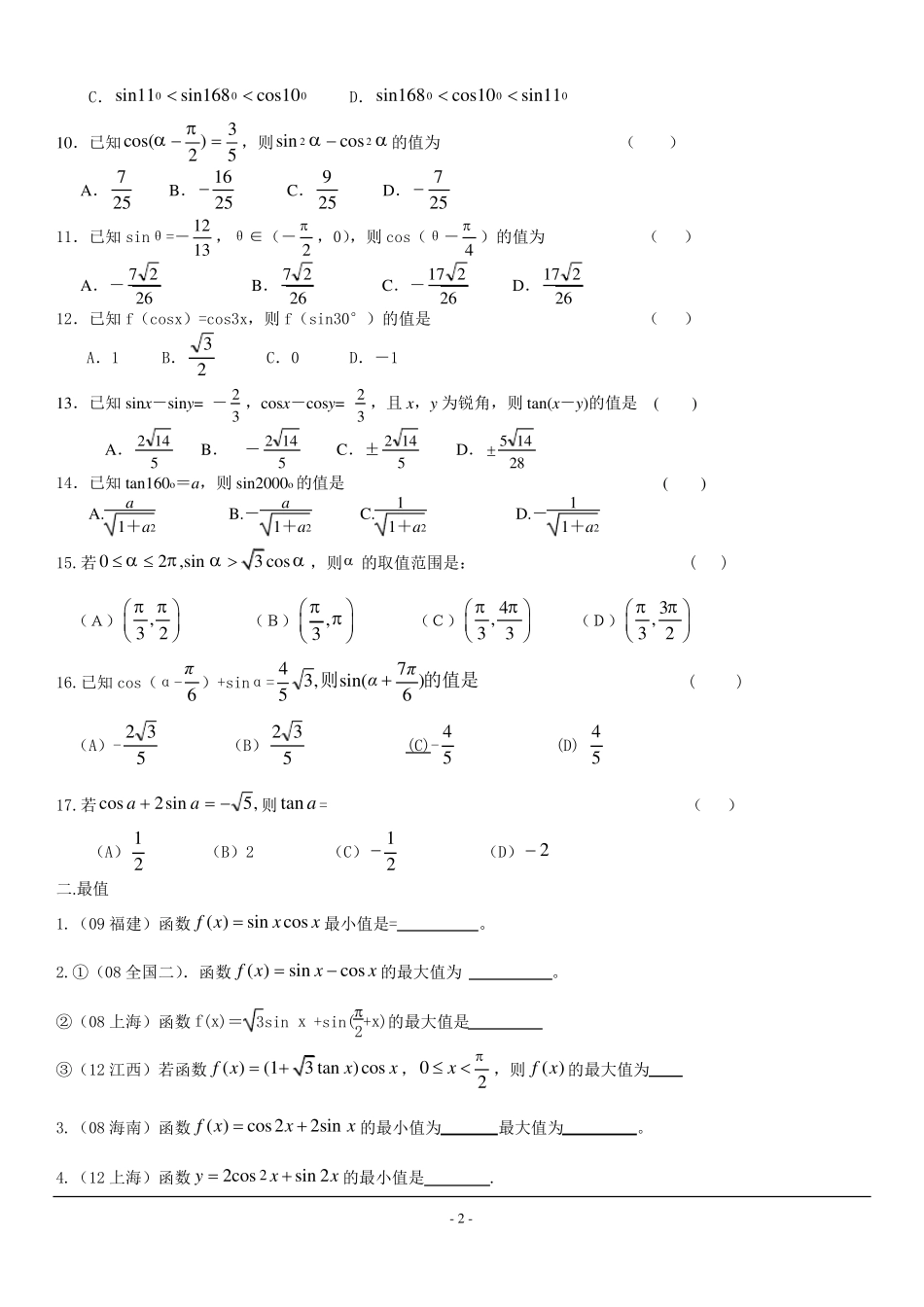
三角函数题型分类总结一.三角函数的求值、化简、证明问题常用的方法技巧有:a) 常数代换法:如:1  sin 2   cos 2 b) 配角方法:  (  )   , 2  (  )    , 1、sin330 =tan690° =sin585 =o  2   2,     2   22、(1)(10 全国Ⅰ)  是第四象限角,cos  12,则sin  __________13(2)(11 北京文)若sin  ,tan  0 ,则cos  . (3)  是第三象限角,sin(  ) 4515,则cos =cos() =223、(1) (09 陕西) 已知sin 5 , 则sin 4   cos4  = .53,则2 cos( )= .54(2)(12 全国文)设 (0,) ,若sin 2(3)(08 福建)已知 (3,),sin  , 则 tan( ) =2544. (1)(10 福建) sin15 cos75  cos15 sin105 = (2)(11 陕西)cos43 cos77  sin 43 cos167 =。(3)sin163 sin 223 sin 253 sin313 。5.(1) 若 sinθ+cosθ=oooo1,则 sin 2θ=53(2)已知sin( x) ,则sin 2x 的值为45 (3) 若 tan  2 ,则 sin  cos=sin  cos6. (10 北京)若角 的终边经过点 P(1, 2),则cos =tan 2 =7.(09 浙江)已知cos(2 ) 3,且| |,则 tan =228.若cos22,则cos sin = π2sin 4 9.(09 重庆文)下列关系式中正确的是()A.sin11  cos10  sin168 B.sin168  sin11  cos10000000- 1 -C.sin11  sin168  cos10D.sin168  cos10  sin1110.已知cos( 00000011.已知 sinθ=-3,则sin 2   cos 2  的值为()2571697A.B.C.D.2525252512) 13 ,θ∈(-,0),则 cos(θ-247 27 217 217 2A.-B.C.-D.2626262612.已知 f(cosx)=cos3x,则 f(sin30°)的值是()A.1 B.)的值为()3 C.0 D.-1222,cosx-cosy=,且 x,y 为锐角,则 tan(x-y)的值是()3313.已知 sinx-siny= -A.5 142 142 142 14B.-C.±D. 2855514.已知 tan160o=a,则 sin2000o 的值是()aa11A.B.-C.D.-1+a21+a21+a21+a215.若0    2,sin  3 ...

1、当您付费下载文档后,您只拥有了使用权限,并不意味着购买了版权,文档只能用于自身使用,不得用于其他商业用途(如 [转卖]进行直接盈利或[编辑后售卖]进行间接盈利)。
2、本站所有内容均由合作方或网友上传,本站不对文档的完整性、权威性及其观点立场正确性做任何保证或承诺!文档内容仅供研究参考,付费前请自行鉴别。
3、如文档内容存在违规,或者侵犯商业秘密、侵犯著作权等,请点击“违规举报”。

碎片内容

三角函数-历年高考题

文库当当响+ 关注
实名认证
内容提供者

该用户很懒,什么也没介绍

相关文档

确认删除?
VIP
微信客服
  • 扫码咨询
会员Q群
  • 会员专属群点击这里加入QQ群
客服邮箱
回到顶部