电脑桌面
添加小米粒文库到电脑桌面
安装后可以在桌面快捷访问

三角函数题型总结

三角函数题型总结_第1页
1/10
三角函数题型总结_第2页
2/10
三角函数题型总结_第3页
3/10
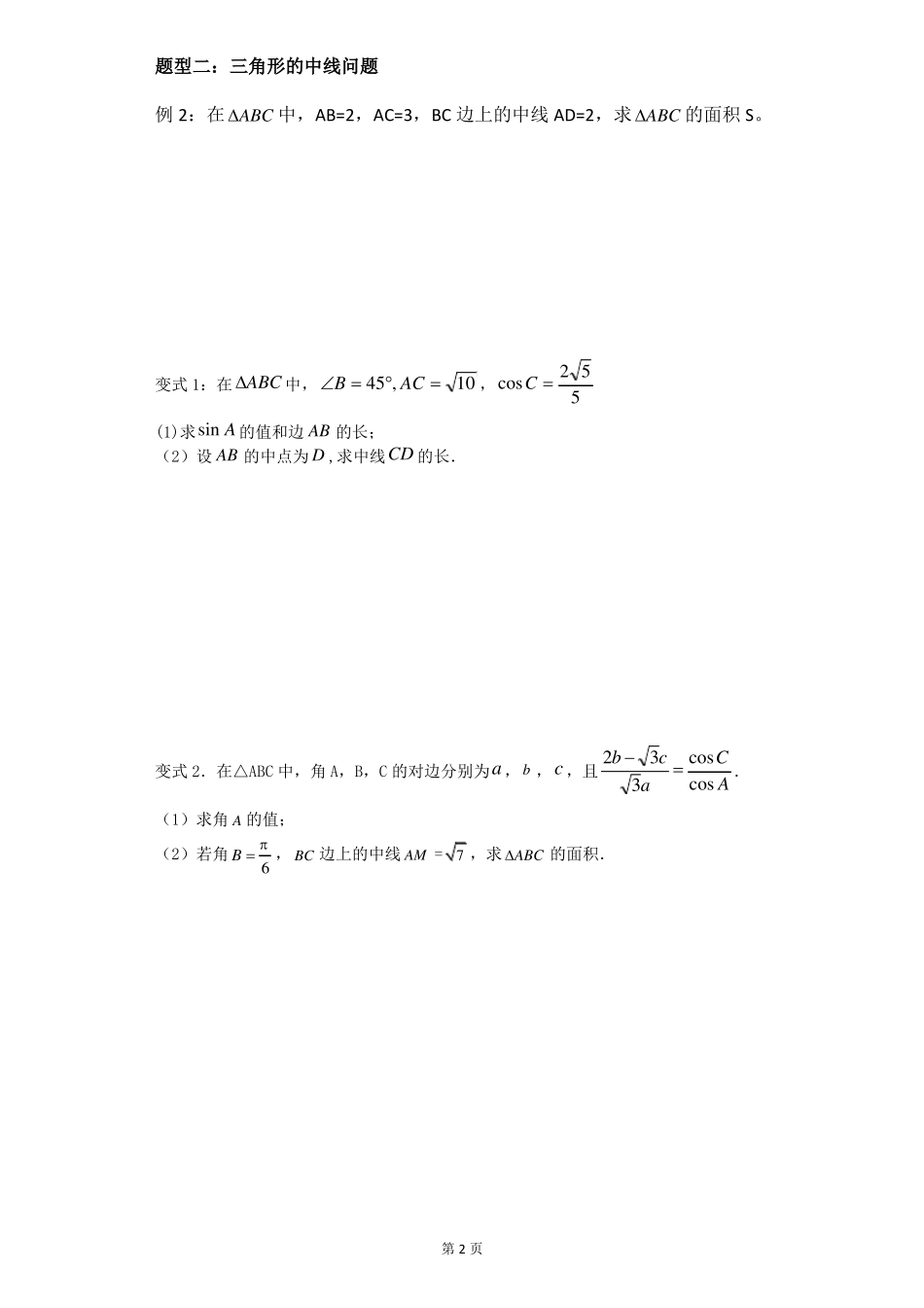
题型一:三角形内角平分线问题例 1:ABC 中,D 是 BC 上的点,AD 平分BAC ,ABD 面积是 ADC 面积的 2 倍。sin B(1)求;sinC(2)若 AD 1, DC 2 ,求 BD 和 AC 的长;2变式 1:已知 AD 为ABC 内角 A 的角平分线,AB=3,AC=5,ABC 1200,则 AD 的长为_________________.变 2:在 ABC 中, B 1200, AB 2, A的角平分线AD 3,则AC ________;变式 3:如图,在 ABC 中,AB  2, AC 1,A的平分线AD 1,求 ABC 的面积 S;第 1 页题型二:三角形的中线问题例 2:在 ABC 中,AB=2,AC=3,BC 边上的中线 AD=2,求 ABC 的面积 S。变式 1:在ABC 中,B  45, AC 10 ,cosC (1)求sin A 的值和边 AB 的长;(2)设 AB 的中点为 D ,求中线CD 的长.变式 2.在△ABC 中,角 A,B,C 的对边分别为a ,b ,c ,且(1)求角 A 的值;(2)若角 B 2 552b 3ccosC. cos A3a6, BC 边上的中线 AM =7 ,求 ABC 的面积.第 2 页类型三:三角形中多次使用正余弦定理1、在 ABC 中, A 长。变式 1:如图,在 ABC 中,已知 B  450 ,D 是 BC 边上一点,且 AD=10,AC=14,DC=6,则 AB 的长为___________。变式 13 , AB  6, AC  3 2 ,点 D 在 BC 边上,AD=BD,求 AD 的4变式 2变式 2:在ABC 中,已知 AB=21,C  450 ,点 D 在 BC 边上,且 BD=9,AD=15,则 AC 的长为___________。sin变式 3:如图,在 ABC 中,ABC3, AB  2,点D在线段AC上,且AD  2DC23, BD  4 3 ,则BC _________3变式 4:在 ABC 中, AB 2,点D在BC上,BD  2DC,cosDAC  3 10 ,10cosC  2 5 ,则 AC+BC=_________。5第 3 页变式 5:在ABC 中,已知 AB=2,AC=3, A  600 ;(1)求 BC;(2)求sin 2C 的值;类型四:比值的计算1、 ABC 中,D 是 BC 上的点,AD 平分BAC ,且 BD=2DC。sin B(1);sinC(2)若BAC  600 ,求 B.变式 1:在 ABC 中,内角 A,B,C 所对的边分别为 a,b,c ,若 3a  2b ,则2sin 2 B sin 2 A 的值为()2sin A117A、 B、C、1D、932第 4 页变式 2:在 ABC 中, a  4,b  5,c  6,则 sin 2A _...

1、当您付费下载文档后,您只拥有了使用权限,并不意味着购买了版权,文档只能用于自身使用,不得用于其他商业用途(如 [转卖]进行直接盈利或[编辑后售卖]进行间接盈利)。
2、本站所有内容均由合作方或网友上传,本站不对文档的完整性、权威性及其观点立场正确性做任何保证或承诺!文档内容仅供研究参考,付费前请自行鉴别。
3、如文档内容存在违规,或者侵犯商业秘密、侵犯著作权等,请点击“违规举报”。

碎片内容

三角函数题型总结

确认删除?
VIP
微信客服
  • 扫码咨询
会员Q群
  • 会员专属群点击这里加入QQ群
客服邮箱
回到顶部