电脑桌面
添加小米粒文库到电脑桌面
安装后可以在桌面快捷访问

物理学02习题

物理学02习题_第1页
1/7
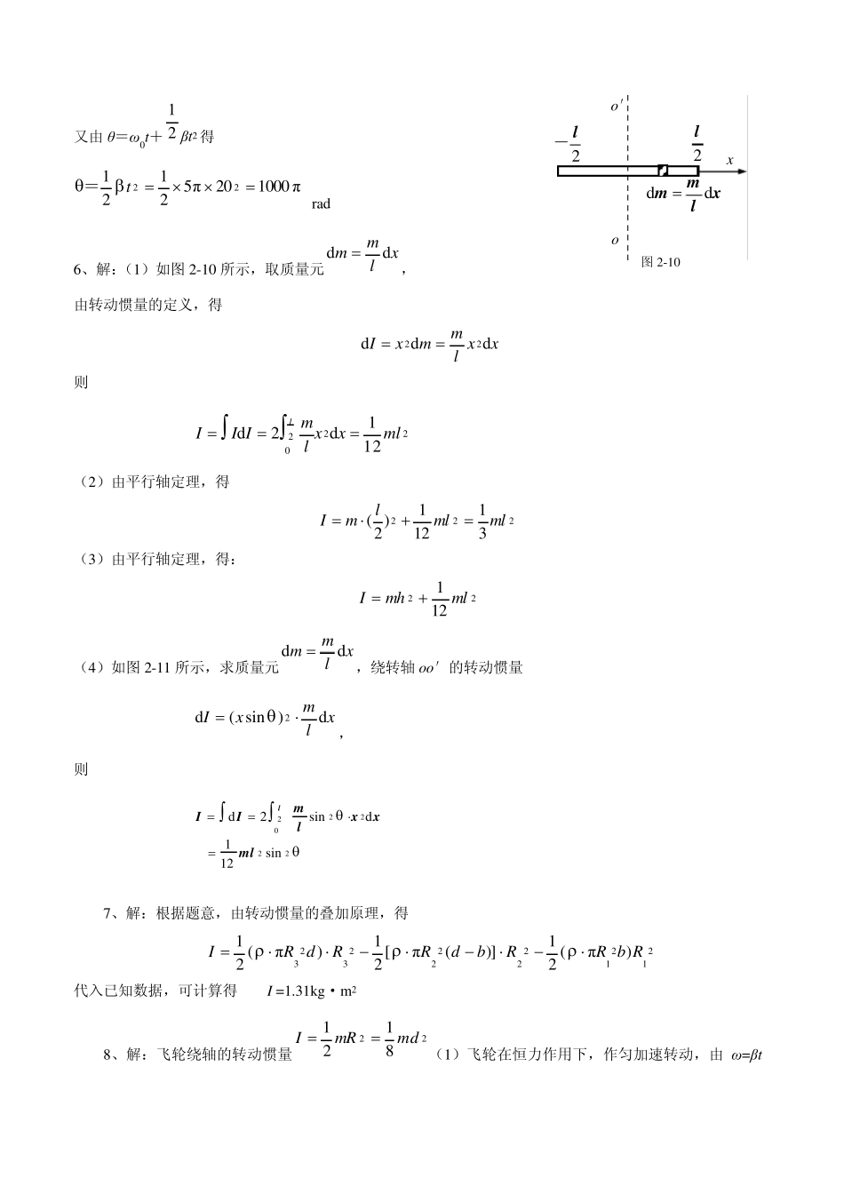
物理学02习题_第2页
2/7
物理学02习题_第3页
3/7
第二章 刚体的转动 习 题 1、两个半径相同的飞轮用一皮带相连,作无滑动转动时,大飞轮边缘上各点的线速度的大小是否与小飞轮边缘上各点的线速度的大小相同?角速度又是否相同? 2、当刚体转动时,如果它的角速度很大,是否说明刚体的角加速度一定很大? 3、如果作用在刚体上的合力矩垂直于刚体的角动量,则刚体角动量的大小和方向会发生变化吗? 4、一个人随着转台转动,两手各拿一只重量相等的哑铃,当他将两臂伸开,他和转台的转动角速度是否改变? 5、直径为 0.6 m 的转轮,从静止开始做匀变速转动,经 20 s 后,它的角速度达到 100π rad/s,求角加速度和在这一段时间内转轮转过的角度。 6、求质量为 m,长为 l 的均匀细棒对下面几种情况的转动惯量。 (1) 转轴通过棒的中心并与棒成垂直; (2) 转轴通过棒的一端并与棒垂直; (3) 转轴通过棒上离中心为 h 的一点并与棒成垂直; (4) 转轴通过棒中心并和棒成 θ 角。 7、如图 2-19 所示,一铁制飞轮,已知密度 ρ=7.8 g/cm3,R1=0.030 m,R2=0.12 m,R3=0.19 m,b =0.040 m,d =0.090 m,求它对转轴的转动惯量。 8、一飞轮直径为 0.3 m,质量为 5 kg,边缘绕绳,现用恒力拉绳一端,使它由静止均匀地加速,经 0.5 s 转速达到 10 rev/s,假定飞轮可看做实心圆柱体,试求: (1)飞轮的角加速度及其在这段时间内转过的转数; (2)从拉动后 t =10 s 时飞轮的角速度及轮边缘上一点的速度和加速度。 (3)拉力及拉力所作的功; 9、用线绕于半径 R=1 m,质量 m=100 kg 的圆盘上,在绳的一端作用 10 N 的拉力, 设圆盘可绕过盘心垂直于盘面的定轴转动。试求: (1)圆盘的角加速度; (2)当线拉下 5 m 时,圆盘所得到的动能。 10、两个质量为 m1 和 m2 的物质分别系在两条绳上,这两条绳又分别绕在半径为 r1 和 r2 并装在同一轴的两鼓轮上,如图 2-20 所示。已知两鼓轮绕轴的转动R1 R2 R3 d b 图 2-19 m1 m2 r2 r1 O 图 2-20 图 2-21 惯量为I,轴间摩擦不计,绳子的质量忽略不计,求鼓轮的角加速度。 11、如图 2-21 所示,已知滑轮的半径为30cm,转动惯量为0.50kg·m2,弹簧的劲度系数 k=2.0N/m。问质量为60g 的物体落下 40cm 时的速率是多大?(设开始时物体静止且弹簧无伸长,在物体下落过程中绳子与滑轮无相对滑动)。 12、如图 2-22 所示,一不变的力矩 M 作用在铰车...

1、当您付费下载文档后,您只拥有了使用权限,并不意味着购买了版权,文档只能用于自身使用,不得用于其他商业用途(如 [转卖]进行直接盈利或[编辑后售卖]进行间接盈利)。
2、本站所有内容均由合作方或网友上传,本站不对文档的完整性、权威性及其观点立场正确性做任何保证或承诺!文档内容仅供研究参考,付费前请自行鉴别。
3、如文档内容存在违规,或者侵犯商业秘密、侵犯著作权等,请点击“违规举报”。

碎片内容

物理学02习题

确认删除?
VIP
微信客服
  • 扫码咨询
会员Q群
  • 会员专属群点击这里加入QQ群
客服邮箱
回到顶部