电脑桌面
添加小米粒文库到电脑桌面
安装后可以在桌面快捷访问

考研数学三公式大全

考研数学三公式大全_第1页
1/19
考研数学三公式大全_第2页
2/19
考研数学三公式大全_第3页
3/19
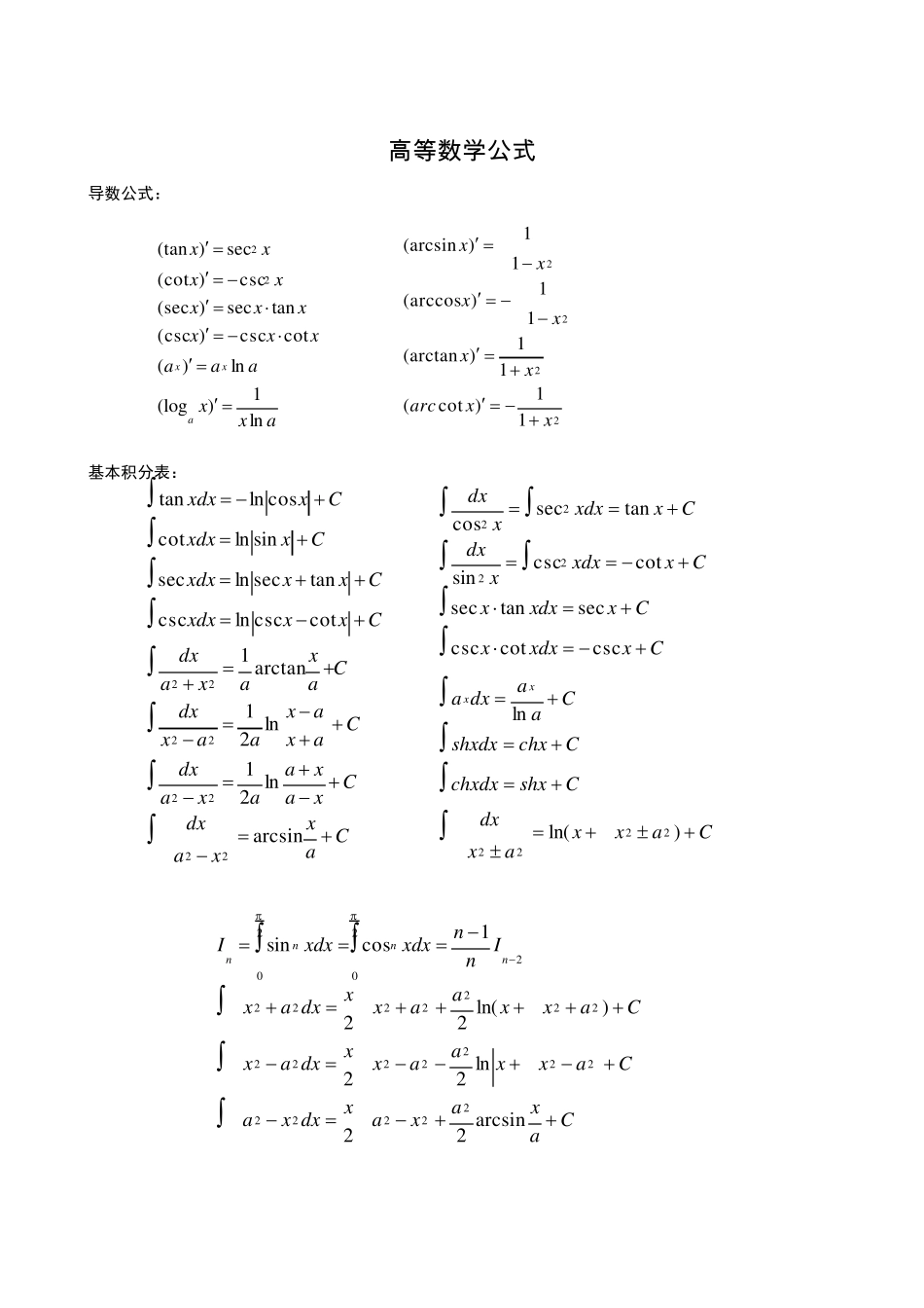
高 等 数 学 公式 导数公式: 基本积分表: axxaaaxxxxxxxxxxaxxln1)(logln)(cotcsc)(csctansec)(seccsc)(cotsec)(tan22222211)cot(11)(arctan11)(arccos11)(arcsinxxarcxxxxxxCaxxaxdxCshxchxdxCchxshxdxCaadxaCxxdxxCxdxxxCxxdxxdxCxxdxxdxxx)ln(lncsccotcscsectanseccotcscsintanseccos22222222CaxxadxCxaxaaxadxCaxaxaaxdxCaxaxadxCxxxdxCxxxdxCxxdxCxxdxarcsinln21ln21arctan1cotcsclncsctanseclnsecsinlncotcoslntan22222222CaxaxaxdxxaCaxxaaxxdxaxCaxxaaxxdxaxInnxdxxdxInnnnarcsin22ln22)ln(221cossin222222222222222222222020 三角函数的有理式积分: 222212211cos12sinududxxtguuuxuux, , , A.积 化 和 差 公 式 : )sin()sin(21cossin)sin()sin(21sincos)cos()cos(21coscos cos)cos(21sinsin B.和 差 化 积 公 式 : ①2cos2sin2sinsin ②2sin2cos2sinsin ③2cos2cos2coscos ④2sin2sin2coscos 1.正 弦 定 理 :Aasin=Bbsin=Ccsin= 2R ( R 为 三 角 形 外 接 圆 半 径 ) 2..余 弦 定 理 : a 2 =b 2 +c 2 -2bcAcos b 2 =a 2 +c 2 -2acBcos c 2 =a 2 +b 2 -2abCcos bcacbA2cos222 3.S⊿=21 aah= 21 abCsin=21 bcAsin=21 acBsin=Rabc4=2R 2AsinBsinCsin =ACBasin2sinsin2=BCAbsin2sinsin2=CBAcsin2sinsin2=pr=))()((cpbpapp (其 中)(21cbap, r 为 三 角 形 内 切 圆 半 径 ) 4.诱 导 公 试 三 角 函 数 值 等 于  的 同 名 三 角 函 数 值 , 前面 加 上 一个把 看作锐角 时, 原三 角 函 数值 的 符号;即:函 数 名 不变, 符号看象限 sin cos tan cot - -sin +cos -tg -ctg  - +sin -cos -tg -ctg  + -sin -co...

1、当您付费下载文档后,您只拥有了使用权限,并不意味着购买了版权,文档只能用于自身使用,不得用于其他商业用途(如 [转卖]进行直接盈利或[编辑后售卖]进行间接盈利)。
2、本站所有内容均由合作方或网友上传,本站不对文档的完整性、权威性及其观点立场正确性做任何保证或承诺!文档内容仅供研究参考,付费前请自行鉴别。
3、如文档内容存在违规,或者侵犯商业秘密、侵犯著作权等,请点击“违规举报”。

碎片内容

考研数学三公式大全

您可能关注的文档

小辰6+ 关注
实名认证
内容提供者

出售各种资料和文档

相关文档

确认删除?
VIP
微信客服
  • 扫码咨询
会员Q群
  • 会员专属群点击这里加入QQ群
客服邮箱
回到顶部