电脑桌面
添加小米粒文库到电脑桌面
安装后可以在桌面快捷访问

考研电路及系统公式归纳

考研电路及系统公式归纳_第1页
1/11
考研电路及系统公式归纳_第2页
2/11
考研电路及系统公式归纳_第3页
3/11
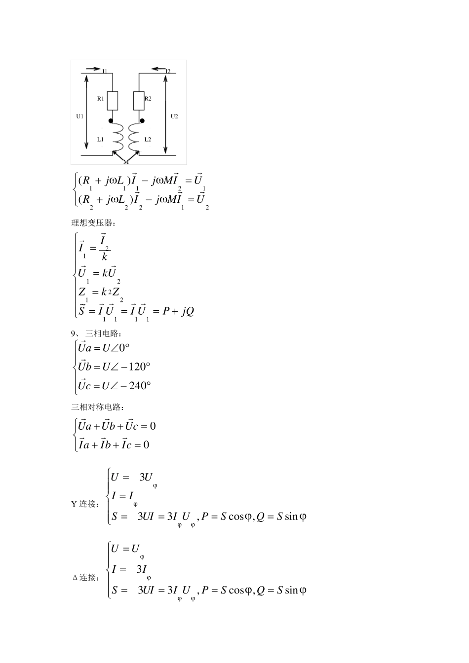
《电路原理》 1、 回路电流方程:      EsIR R 矩阵 自电阻总是正的,且为回路电阻之和 互电阻为两个相关回路的电阻,符号取决与两个电流方向,一致取正,相反取负 Es 是相关节点的电势,各电动势方向与回路电流方向,一致取正,否则取负 2、 节点电压方程:      IsUG G 矩阵 自导纳总是取正号,为节点关联支路导纳总和 互导纳为相关节点的导纳负数 Is 矩阵是相关节点电流源总和 3、 叠加原理: 在线性电路中,任一支路的电流(或电压)都是电路各个电动势单独作用时在该支路中产生的电流(电压)的代数和。 此叠原理加不适用于功率,因为功率为ΔP=ΔIΔU。 4、 戴维南定理: 网络 U I U I Es R 等效 5、 诺顿定理: 网络 U I U I Is R 等效 6、 YΔ网络等值互换: Δ-Y 公式: 321133132132233212112RRRRRRRRRRRRRRRRRR对于交流系统,用Z=R+jX 替换 R,三相对称时 3 RRY Y-Δ公式: 321133132132233212112GGGGGGGGGGGGGGGGGG对于交流系统,用 Y=G+jB 替换 G,三相对称时3YGG  7、 交流电路: sincos~,21),sin()(21),sin()(022021UIQUIPjQPSUISIdtiTItItiUdtuTUtUtumTmmTm 其中 U I 为有效值,Um、Im 为最大值 ZjBGYjXRZZCjXdtduCtiZLjXdtdiLtuCCLL11,)(,)( 8、 互感与变压器: 串联极点同侧、异侧:MLLL221 并联极点同侧、异侧:MLLMLLL2-21221 互感 M 及耦合系数 k:10,21kLLkM 空心变压器: U1 I1 U2 I2 M L2 L1 R1 R2 ● ● 2122212111)()(UIMjILjRUIMjILjR 理想变压器: jQPUIUISZkZUkUkII11112212121~ 9、 三相电路: 2401200UcUUbUUaU 三相对称电路: 00cIbIaIcUbUaU Y 连接:sin,cos,333SQSPUIUISIIUU Δ连接:sin,cos,333SQSPUIUISIIUU 三相不对称电路: Y 连接:CCCBBBAAAC...

1、当您付费下载文档后,您只拥有了使用权限,并不意味着购买了版权,文档只能用于自身使用,不得用于其他商业用途(如 [转卖]进行直接盈利或[编辑后售卖]进行间接盈利)。
2、本站所有内容均由合作方或网友上传,本站不对文档的完整性、权威性及其观点立场正确性做任何保证或承诺!文档内容仅供研究参考,付费前请自行鉴别。
3、如文档内容存在违规,或者侵犯商业秘密、侵犯著作权等,请点击“违规举报”。

碎片内容

考研电路及系统公式归纳

您可能关注的文档

小辰8+ 关注
实名认证
内容提供者

出售各种资料和文档

相关文档

确认删除?
VIP
微信客服
  • 扫码咨询
会员Q群
  • 会员专属群点击这里加入QQ群
客服邮箱
回到顶部