电脑桌面
添加小米粒文库到电脑桌面
安装后可以在桌面快捷访问

208病理学技术(师)考试大纲

208病理学技术(师)考试大纲_第1页
1/41
208病理学技术(师)考试大纲_第2页
2/41
208病理学技术(师)考试大纲_第3页
3/41
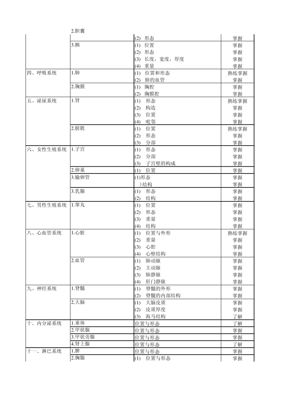
人体解剖学单 元细 目要 点要求(1 ) 矢状面熟练掌握(2 ) 冠状面熟练掌握(3 ) 水平面熟练掌握(4 ) 胸部标志线掌握 ① 前正中线掌握 ② 胸骨线掌握 ③ 锁骨中线掌握(5 ) 腹部分区掌握(1 ) 骨的组成熟练掌握(2 ) 分类掌握(1 ) 椎骨的组成掌握(2 ) 形态特点章握(1 ) 位置掌握(2 ) 形态特点掌握(1 ) 组成掌握(2 ) 位置掌握(3 ) 形态特点掌握(1 ) 组成掌握(2 ) 位置掌握(3 ) 形态特点掌握(1 ) 组成掌握(2 ) 位置掌握(3 ) 形态特点掌握(一)消化管1 .消化系统(1 ) 消化系统的组成与分类熟练掌握(1 ) 食管的位置掌握(2 ) 食管的分部掌握(3 ) 食管的结构掌握(1 ) 胃的位置掌握(2 ) 胃的形态与构造掌握(1 ) 位置掌握(2 ) 分部掌握(1 ) 位置掌握(2 ) 形态掌握(3 ) 长度掌握(二)消化腺(1 ) 位置熟练掌握(2 ) 长度,宽度,厚度掌握(3 ) 形态掌握(4 ) 重量掌握(1 ) 位置熟练掌握3 .胃4 .十二指肠3 .胸骨4 .肋及肋软骨5 .脑颅骨6 .上肢骨及下肢骨208病理学技术初级(师)考试大纲 基础知识一、人体解剖学的基本术语1 .解剖基本术语2 .食管二、骨骼系统1 .骨2 .躯干骨5 .阑尾1 .肝三、消化系统2 .胆囊(2 ) 形态掌握(1 ) 位置掌握(2 ) 形态掌握(3 ) 长度,宽度,厚度掌握(4 ) 重量掌握(1 ) 位置和形态熟练掌握(2 ) 肺的血管掌握(1 ) 胸腔掌握(2 ) 胸膜腔掌握(1 ) 形态熟练掌握(2 ) 构造掌握(3 ) 位置掌握(4 ) 吡邻掌握(1 ) 位置熟练掌握(2 ) 形态掌握(3 ) 分部掌握(1 ) 形态掌握(2 ) 分部掌握(3 ) 子宫壁的构成掌握2 .卵巢(1 ) 位置掌握(1 )形态掌握(2)结构掌握(1 ) 形态掌握(2 ) 结构掌握(1 ) 位置掌握(2 ) 形态掌握(3 ) 重量掌握(4 ) 结构掌握(1 ) 位置与外形熟练掌握(2 ) 重量掌握(3 ) 心腔掌握(4 ) 心壁结构掌握(1 ) 肺动脉掌握(2 ) 主动脉掌握(3 ) 肺静脉掌握(4 ) 肝门静脉掌握(1 ) 脊髓的外形掌握(2 ) 脊髓的内部结构掌握(1 ) 大脑皮质掌握(2 ) 皮质厚度掌握(3 ) 海马结构了解1 .垂体位置与形态了解2 .甲状腺位置与形态掌握3 .甲状旁腺位置与形态掌握4 .肾上腺位置与形态了解1 .脾位置与形态掌握(1 ) 位置与形态掌握2 .血管九、神经系统1 .脊髓2 .大脑六、女性生殖系统3 .乳腺七、男性生殖系统1 .睾丸八、心血管系统1 .心脏十、内分泌系统2 .胸腺五、泌尿...

1、当您付费下载文档后,您只拥有了使用权限,并不意味着购买了版权,文档只能用于自身使用,不得用于其他商业用途(如 [转卖]进行直接盈利或[编辑后售卖]进行间接盈利)。
2、本站所有内容均由合作方或网友上传,本站不对文档的完整性、权威性及其观点立场正确性做任何保证或承诺!文档内容仅供研究参考,付费前请自行鉴别。
3、如文档内容存在违规,或者侵犯商业秘密、侵犯著作权等,请点击“违规举报”。

碎片内容

208病理学技术(师)考试大纲

确认删除?
VIP
微信客服
  • 扫码咨询
会员Q群
  • 会员专属群点击这里加入QQ群
客服邮箱
回到顶部