电脑桌面
添加小米粒文库到电脑桌面
安装后可以在桌面快捷访问

A65.1SP10升级包补丁说明

A65.1SP10升级包补丁说明_第1页
1/15
A65.1SP10升级包补丁说明_第2页
2/15
A65.1SP10升级包补丁说明_第3页
3/15
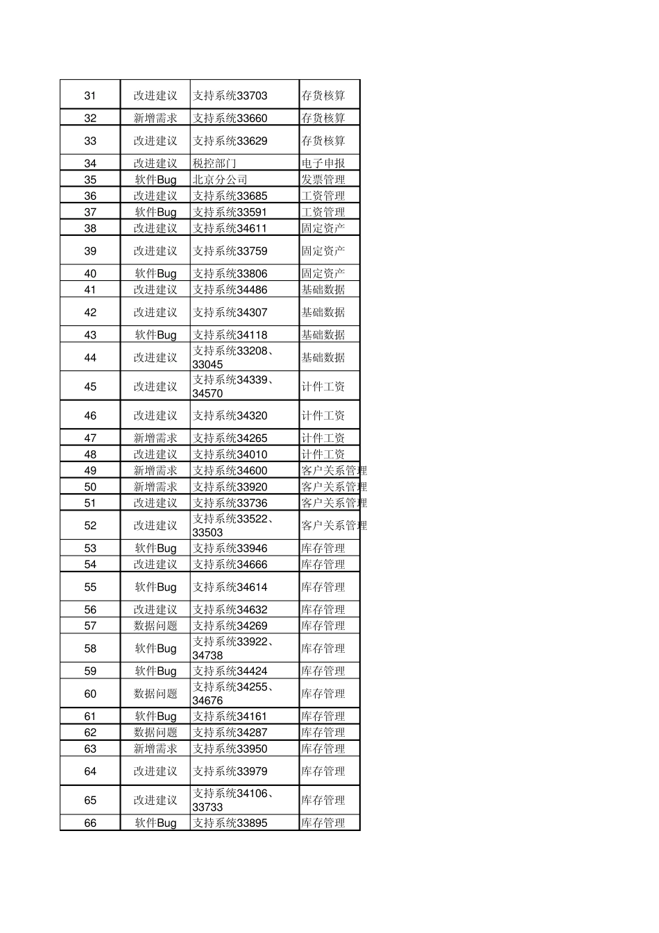
升级包名称文件名文件大小发版说明适用版本升级说明序号问题类型问题来源 业务模块1改进建议支持系统34283报表管理2软件Bug支持系统34197报表管理3新增需求支持系统33950采购管理4新增需求支持系统34552、33982采购管理5改进建议支持系统34243采购管理6新增需求支持系统33983采购管理7改进建议支持系统34274采购管理8新增需求支持系统34257采购管理9软件Bug支持系统34212、34122、32983采购管理10改进建议支持系统34169采购管理11改进建议支持系统34089采购管理12软件Bug支持系统33700采购管理13改进建议支持系统33964采购管理14改进建议支持系统32837采购管理15改进建议支持系统33751采购管理16改进建议支持系统33753采购管理17软件Bug支持系统33772、34188采购管理18软件Bug支持系统33187采购管理19软件Bug支持系统32891采购管理20改进建议支持系统32839采购管理21改进建议支持系统33034采购管理22新增需求支持系统34034车间管理23改进建议支持系统34420出纳管理24数据问题支持系统33762出纳管理25新增需求支持系统34440存货核算26改进建议支持系统34334存货核算27改进建议支持系统34183存货核算28改进建议支持系统34012存货核算29新增需求支持系统34009、33724、32956存货核算30改进建议支持系统33801存货核算A65.1sp10解压缩后直接点击A6_Update.exe,进行补丁升级。录不进去的情况,请重启A6应用服务器再登录。A65.1标准版和基础版升级前注意备份,升级完后进行数据库升级。如果31改进建议支持系统33703存货核算32新增需求支持系统33660存货核算33改进建议支持系统33629存货核算34改进建议税控部门电子申报35软件Bug北京分公司发票管理36改进建议支持系统33685工资管理37软件Bug支持系统33591工资管理38改进建议支持系统34611固定资产39改进建议支持系统33759固定资产40软件Bug支持系统33806固定资产41改进建议支持系统34486基础数据42改进建议支持系统34307基础数据43软件Bug支持系统34118基础数据44改进建议支持系统33208、33045基础数据45改进建议支持系统34339、34570计件工资46改进建议支持系统34320计件工资47新增需求支持系统34265计件工资48改进建议支持系统34010计件工资49新增需求支持系统34600客户关系管理50新增需求支持系统33920客户关系管理51改进建议支持系统33736客户关系管理52改进建议支持系统33522、33503客户关系管理53软件Bug支持系统33946库存管理54改进建议支持系统34666库存管理55软件Bug支持系统34614库存管理56改...

1、当您付费下载文档后,您只拥有了使用权限,并不意味着购买了版权,文档只能用于自身使用,不得用于其他商业用途(如 [转卖]进行直接盈利或[编辑后售卖]进行间接盈利)。
2、本站所有内容均由合作方或网友上传,本站不对文档的完整性、权威性及其观点立场正确性做任何保证或承诺!文档内容仅供研究参考,付费前请自行鉴别。
3、如文档内容存在违规,或者侵犯商业秘密、侵犯著作权等,请点击“违规举报”。

碎片内容

A65.1SP10升级包补丁说明

小辰4+ 关注
实名认证
内容提供者

出售各种资料和文档

确认删除?
VIP
微信客服
  • 扫码咨询
会员Q群
  • 会员专属群点击这里加入QQ群
客服邮箱
回到顶部